Вернуться к содержанию учебника
Выберите год учебника
№476 учебника 2023-2026 (стр. 143):
Найдите все решения системы уравнений:
а) \(\begin{cases}\dfrac{x}{y}+\dfrac{y}{x}=\dfrac{25}{12},\\ x^2-y^2=7;\end{cases}\)
б) \(\begin{cases}\dfrac{x}{y}-\dfrac{y}{x}=2{,}1,\\ x^2+y^2=29.\end{cases}\)
№476 учебника 2014-2022 (стр. 124):
Из куска олова массой 356 г и куска меди массой 438 г сделали сплав. Известно, что плотность олова на \(1{,}6\ \text{г/см}^3\) больше плотности меди. Найдите объём каждого куска металла, если объём куска олова на \(20\ \text{см}^3\) меньше объёма куска меди.
№476 учебника 2023-2026 (стр. 143):
Вспомните:
№476 учебника 2014-2022 (стр. 124):
Вспомните:
№476 учебника 2023-2026 (стр. 143):
а) \(\begin{cases}\dfrac{x}{y}+\dfrac{y}{x}=\dfrac{25}{12},\\ x^2-y^2=7\end{cases}\)
\(\dfrac{x}{y}+\dfrac{y}{x}=\dfrac{25}{12}\)
Пусть \(\frac xy = t\), тогда
\(t + \frac1t = \frac{25}{12}\) \(/\times 12t\)
\(12t^2 + 12 = 25t\)
\(12t^2 - 25t + 12 = 0\)
\(D = (-25)^2 - 4\cdot12\cdot12 = \)
\(=625 - 576 = 49 > 0\) - два корня.
\(\sqrt{49} = 7\).
\(t_1 = \frac{25 + 7}{2\cdot12} =\frac{32}{24} =\frac{4}{3}\).
\(t_2 = \frac{25 - 7}{2\cdot12} =\frac{18}{24} =\frac{3}{4}\).

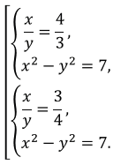
1) \(\begin{cases}\dfrac{x}{y}=\dfrac{4}{3},\\ x^2-y^2=7\end{cases}\)
\(\begin{cases} x=\dfrac{4}{3}y,\\[6pt] \left(\dfrac{4}{3}y\right)^2-y^2=7\end{cases}\)
\(\left(\dfrac{4}{3}y\right)^2-y^2=7\)
\(\dfrac{16}{9}y^2-y^2=7\) \(/\times9\)
\(16y^2 - 9y^2 = 63\)
\(7y^2 = 63\)
\(y^2 = \frac{63}{7}\)
\(y^2 = 9\)
\(y = \pm\sqrt9\)
\(y = \pm3\).
Если \(y = 3\), то
\(x = \frac43\cdot3 = 4\).
Если \(y = -3\), то
\(x = \frac43\cdot(-3) = -4\).
1) \(\begin{cases}\dfrac{x}{y}=\dfrac{3}{4},\\ x^2-y^2=7\end{cases}\)
\(\begin{cases} x=\dfrac{3}{4}y,\\[6pt] \left(\dfrac{3}{4}y\right)^2-y^2=7\end{cases}\)
\(\left(\dfrac{3}{4}y\right)^2-y^2=7\)
\(\dfrac{9}{16}y^2-y^2=7\) \(/\times 16\)
\(9y^2 - 16y^2 = 112\)
\(-7y^2 = 112\)
\(y^2 = \frac{112}{-7}\)
\(y^2 = -16\) - не имеет корней.
Ответ: \( (4;3),\;(-4;-3) \).
б) \(\begin{cases}\dfrac{x}{y}-\dfrac{y}{x}=2{,}1,\\ x^2+y^2=29\end{cases}\)
\(\dfrac{x}{y}-\dfrac{y}{x}=2{,}1\)
Пусть \(\frac xy = t\), тогда
\(t - \frac1t = 2,1\) \(/\times 10t\)
\(10t^2 - 10 = 21t\)
\(10t^2 - 21t - 10 = 0\)
\(D = (-21)^2 - 4\cdot10\cdot(-10)= \)
\(= 441 + 400 = 841 > 0\) - два корня.
\(\sqrt {841} = 29\).
\(t_1 = \frac{21 + 29}{2\cdot10} = \frac{50}{20} = \frac52 = 2,5\).
\(t_2 = \frac{21 - 29}{2\cdot10} = \frac{-8}{20} = \frac{-4}{10} = -0,4\).

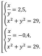
1) \(\begin{cases}\dfrac{x}{y}=2,5,\\ x^2+y^2=29\end{cases}\)
\(\begin{cases}x=2,5y,\\ (2,5y)^2+y^2=29\end{cases}\)
\((2,5y)^2+y^2=29\)
\(6,25y^2 + y^2 = 29\)
\(7,25y^2 = 29\)
\(y^2 = \frac{29}{7,25}\)
\(y^2 = \frac{2900}{725}\)
\(y^2 = 4\)
\(y = \pm\sqrt4\)
\(y = \pm2\)
Если \(y = 2\), то
\(x = 2,5\cdot2 = 5\).
Если \(y = -2\), то
\(x = 2,5\cdot(-2) = -5\).
2) \(\begin{cases}\dfrac{x}{y}=-0,4,\\ x^2+y^2=29\end{cases}\)
\(\begin{cases} x=-0,4y,\\ (-0,4y)^2+y^2=29\end{cases}\)
\((-0,4y)^2+y^2=29\)
\(0,16y^2 + y^2 = 29\)
\(1,16y^2 = 29\)
\(y^2 = \frac{29}{1,16}\)
\(y^2 = \frac{2900}{116}\)
\(y^2 = 25\)
\(y = \pm\sqrt{25}\)
\(y = \pm5\)
Если \(y = 5\), то
\(x = -0,4\cdot5 = -2\).
Если \(y = -5\), то
\(x = -0,4\cdot(-5) = 2\).
Ответ: \((5; 2)\), \((-5; -2)\), \((2; -5)\),
\((-2; 5)\).
Пояснения:
В каждой системе сначала преобразуем первое уравнение, для этого вводим переменную \(t = \frac{x}{y}\), тогда \(\frac{y}{x} = \frac1t\). Получаем дробно-рациональное уравнение относительно \(t\), домножив которое на \(t\) получаем квадратное уравнение \(ax^2 + bx + c = 0\), решаем его через дискриминант \(D = b^2 - 4ac\). Если \(D>0\), то уравнение имеет 2 корня:
\(x_{1,2} = \frac{-b \pm \sqrt D}{2a}\).
Решив квадратное уравнение, получаем в каждом случае \(\frac{x}{y}=\pm a\). Тем самым решение систем сводится к решению совокупностей систем. Каждую систему решаем способом подстановки.
№476 учебника 2014-2022 (стр. 124):
Пусть объем меди равен \(x\) см3, а объем олова равен \(y\) см3 (\(x>0\), \(y > 0\)), тогда
\(x - y = 20\).
Плотность меди: \(\frac{438}{x} \) г/см3.
Плотность олова: \(\frac{356}{y} \) г/см3. Тогда
\[ \frac{356}{y} - \frac{438}{x}=1,6. \]
Составим систему уравнений:
\[ \begin{cases} x - y = 20,\\ \frac{356}{y} - \frac{438}{x}=1,6 \end{cases} \]
\[ \begin{cases} x = y + 20,\\ \frac{356}{y} - \frac{438}{y+20}=\frac{16}{10} \end{cases} \]
\[ \begin{cases} x = y + 20,\\ \frac{356}{y} - \frac{438}{y+20}=\frac{8}{5} \end{cases} \]
\(\frac{356}{y} - \frac{438}{y+20}=\frac{8}{5}\) \(/\times 5y(y + 20)\)
\(1780(y + 20) - 2190y = 8y(y+20)\)
\(1780y + 35600 - 2190y = 8y^2 + 160y\)
\(35600 - 410y = 8y^2 + 160y\)
\(8y^2 + 160y + 410y - 35600 = 0\)
\(8y^2 + 570y - 35600 = 0\) \(/ :2\)
\(4y^2 + 285y - 17800 = 0\)
\(D = 285^2 - 4\cdot4\cdot17800 = \)
\(=81\,225 - 284\,800 =\)
\(=366\,025 > 0\) - два корня.
\(\sqrt{366\,025} = \sqrt{121\cdot3025} = \)
\(=11\cdot55 = 605\).
\(y_1 = \frac{-285 + 605}{2\cdot4} = \frac{320}{8} = 40\).
\(y_2 = \frac{-285 - 605}{2\cdot4} = \frac{-890}{8} = \)
\(=- \frac{445}{4} = -111\frac14\) - не удовлетворяет условию.
Если \(x = 40\), то
\(x = 40 + 20 = 60\).
Ответ: объём меди \(60\ \text{см}^3\), объём олова \(40\ \text{см}^3\).
Пояснения:
Используемые правила и формулы:
1. Связь массы, объёма и плотности:
\[ \rho=\frac{m}{V}.\]
2. Если объём олова на 20 меньше объёма меди, то \(x - y = 20\).
3. Если плотность олова больше плотности меди на \(1{,}6\), то
\[ \frac{356}{y} - \frac{438}{x}=1,6. \]
4. Система уравнений решается методом подстановки. Подстановка приводит к дробно-рациональному уравнению, домножив которое на общий знаменатель дробей, входящих в уравнение, получаем квадратное уравнение.
5) Квадратное уравнение
\(ax^2 + bx + c = 0\) решается через дискриминант \(D = b^2 - 4ac\). Если \(D > 0\), то уравнение имеет 2 корня:
\(x_{1,2} = \frac{-b \pm\sqrt D}{2a}\).
Пояснение решения:
Мы выразили плотности через массы и объемы с помощью формулы \(\rho=\frac{m}{V}\). Затем использовали условие разности плотностей и получили уравнение с дробями. После подстановки \(x = y + 20\) получили квадратное уравнение, из которого выбрали положительный корень (объем не может быть отрицательной). Нашли объем второго куска.
Вернуться к содержанию учебника