Вернуться к содержанию учебника
Выберите год учебника
№480 учебника 2023-2026 (стр. 143):
Решите систему уравнений:
а) \(\begin{cases}4x(x+y)+y^2=49,\\ 4x(x-y)+y^2=81;\end{cases}\)
б) \(\begin{cases}3x(3x-4y)+4y^2=64,\\ 3x(3x+4y)+4y^2=16.\end{cases}\)
№480 учебника 2014-2022 (стр. 125):
Не выполняя построения, найдите координаты точек пересечения:
а) параболы \(y=x^2-3x+3\) и прямой \(2x-y-1=0\);
б) окружности \(x^2+y^2=100\) и прямой \(x+y=14\).
№480 учебника 2023-2026 (стр. 143):
Вспомните:
№480 учебника 2014-2022 (стр. 125):
Вспомните:
№480 учебника 2023-2026 (стр. 143):
а) \(\begin{cases}4x(x+y)+y^2=49,\\ 4x(x-y)+y^2=81\end{cases}\)
\(\begin{cases}4x^2+4xy+y^2=49,\\ 4x^2-4xy+y^2=81\end{cases}\)
\[ \begin{cases} (2x + y)^2=49,\\ (2x -y)^2=81 \end{cases} \]
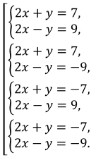
\[ \begin{cases} 2x + y=\pm7,\\ 2x -y=\pm9 \end{cases} \]

1) \( \begin{cases} 2x + y=7,\\ 2x -y=9 \end{cases} \)
\( \begin{cases} y=7 - 2x,\\ 2x -(7 - 2x)=9 \end{cases} \)
\(2x -(7 - 2x)=9\)
\(2x - 7 + 2x = 9\)
\(4x = 9 + 7\)
\(4x = 16\)
\(x = \frac{16}{4}\)
\(x = 4\)
\(y = 7 - 2\cdot4 = 7 - 8 = -1\).
2) \( \begin{cases} 2x + y=7,\\ 2x -y=-9 \end{cases} \)
\( \begin{cases} y=7 - 2x,\\ 2x -(7 - 2x)=-9 \end{cases} \)
\(2x -(7 - 2x)=-9\)
\(2x - 7 + 2x = -9\)
\(4x = -9 + 7\)
\(4x = -2\)
\(x = -\frac{2}{4}\)
\(x = -0,5\)
\(y = 7 - 2\cdot(-0,5) = 7 + 1 = 8\).
3) \( \begin{cases} 2x + y=-7,\\ 2x -y=9 \end{cases} \)
\( \begin{cases} y=-7 - 2x,\\ 2x -(-7 - 2x)=9 \end{cases} \)
\(2x -(-7 - 2x)=9\)
\(2x + 7 + 2x = 9\)
\(4x = 9 - 7\)
\(4x = 2\)
\(x = \frac24\)
\(x = 0,5\)
\(y = -7 - 2\cdot0,5 = -7 - 1 = -8\).
4) \( \begin{cases} 2x + y=-7,\\ 2x -y=-9 \end{cases} \)
\( \begin{cases} y=-7 - 2x,\\ 2x -(-7 - 2x)=-9 \end{cases} \)
\(2x -(-7 - 2x)=-9\)
\(2x + 7 + 2x = -9\)
\(4x = -9 - 7\)
\(4x = -16\)
\(x = -\frac{16}{4}\)
\(x = -4\)
\(y = -7 - 2\cdot(-4) = -7 + 8 = 1\).
Ответ: \((4;-1),\;(-4;1),\)
\((0,5;-8),\;(-0,5;8)\).
б) \(\begin{cases}3x(3x-4y)+4y^2=64,\\ 3x(3x+4y)+4y^2=16\end{cases}\)
\(\begin{cases}9x^2-12xy+4y^2=64,\\ 9x^2+12xy+4y^2=16\end{cases}\)
\[ \begin{cases}(3x - 2y)^2=64,\\ (3x + 2y)^2=16 \end{cases} \]
\[ \begin{cases}3x - 2y=\pm8,\\ 3x + 2y=\pm4 \end{cases} \]

1) \( \begin{cases}3x - 2y=8,\\ 3x + 2y=4 \end{cases} \) \((+)\)
\(6x = 12\)
\(x = \frac{12}{6} \)
\(x = 2\)
\(3\cdot2 - 2y = 8\)
\(6 - 2y = 8\)
\(-2y = 8-6\)
\(-2y = 2\)
\(y = -1\)
2) \( \begin{cases}3x - 2y=8,\\ 3x + 2y=-4 \end{cases} \) \((+)\)
\(6x = 4\)
\(x = \frac{4}{6}\)
\(x = \frac23\).
\(3\cdot\frac23 - 2y = 8\)
\(2 - 2y = 8\)
\(-2y = 8 - 2\)
\(-2y = 6\)
\(y = -\frac62\)
\(y = -3\)
3) \( \begin{cases}3x - 2y=-8,\\ 3x + 2y=4 \end{cases} \) \((+)\)
\(6x = -4\)
\(x = -\frac{4}{6}\)
\(x = -\frac23\).
\(3\cdot(-\frac23) - 2y = -8\)
\(-2 - 2y = -8\)
\(-2y = -8 + 2\)
\(-2y = -6\)
\(y = \frac{6}{2}\)
\(y = 3\)
4) \( \begin{cases}3x - 2y=-8,\\ 3x + 2y=-4 \end{cases} \) \((+)\)
\(6x = -12\)
\(x = -\frac{12}{6}\)
\(x = -2\).
\(3\cdot(-2) - 2y = -8\)
\(-6 - 2y = -8\)
\(-2y = -8 + 6\)
\(-2y = -2\)
\(y = 1\)
Ответ: \((2;-1),\;(-2;1),\)
\(\left(\dfrac{2}{3};-3\right),\;\left(-\dfrac{2}{3};3\right)\).
Пояснения:
В каждом уравнении систем сначала раскрываем скобки:
Раскрытие скобок: \(a(b\pm c)=ab\pm ac\).
Затем применяем формулы квадрата суммы или квадрата разности двух выражений:
\(a^2 + 2ab + b^2 = (a+b)^2\),
\(a^2 - 2ab + b^2 = (a-b)^2\).
Затем решаем уравнения вида
\(x^2 = a\), которое имеет корни
\(x_{1,2} = \pm\sqrt a\).
Тем самым из каждой системы получаем совокупность четырех систем. Каждую их этих систем в пункте а) решаем способом подстановки, а в пункте б) способом сложения и в каждом случае для исходной системы получаем четыре решения.
№480 учебника 2014-2022 (стр. 125):
а) \( \begin{cases} y=x^2-3x+3,\\ 2x-y-1=0 \end{cases} \)
\( \begin{cases} 2x-1=x^2-3x+3,\\ y=2x-1 \end{cases} \)
\(2x-1=x^2-3x+3\)
\(x^2 - 3x + 3 - 2x + 1 = 0\)
\(x^2 - 5x + 4 = 0\)
\(a = 1\), \(b = -5\), \(c = 4\)
\(D = b^2 - 4ac = \)
\(=(-5)^2 - 4\cdot1\cdot4 = \)
\( = 25 - 16 = 9 > 0\) - два действительных корня.
\(x_{1,2} = \frac{-b \pm \sqrt D}{2a}\), \(\sqrt 9 = 3\)
\(x_1 = \frac{5 + 3}{2\cdot1} = \frac{8}{2} = 4\).
\(x_2 = \frac{5 - 3}{2\cdot1} = \frac{2}{2} = 1\).
Если \(x=4\), то
\[ y=2\cdot 4-1=7. \]
Если \(x=1\), то
\[ y=2\cdot 1-1=1. \]
Ответ: пересекаются в точках \((4; 7)\) и \((1; 1)\).
б) \( \begin{cases} x^2+y^2=100,\\ x+y=14 \end{cases} \)
\( \begin{cases} x^2+(14-x)^2=100,\\ y=14 - x \end{cases} \)
\[ x^2+(14-x)^2=100 \]
\[ x^2+196-28x+x^2-100=0 \]
\( 2x^2-28x+96=0 \) \(/ : 2\)
\[ x^2-14x+48=0 \]
\(a = 1\), \(b = -14\), \(c = 48\)
\(D = b^2 - 4ac = \)
\(=(-14)^2 - 4\cdot1\cdot48 = \)
\( = 196 - 192 = 4 > 0\) - два действительных корня.
\(x_{1,2} = \frac{-b \pm \sqrt D}{2a}\), \(\sqrt 4 = 2\)
\(x_1 = \frac{14 + 2}{2\cdot1} = \frac{16}{2} = 8\).
\(x_2 = \frac{14 - 2}{2\cdot1} = \frac{12}{2} = 6\).
Если \(x=8\), то
\[ y=14-8=6. \]
Если \(x=6\), то
\[ y=14-6=8. \]
Ответ: пересекаются в точках \((6;8)\) и \((8;6)\).
Пояснения:
Использованные правила:
1. Чтобы найти точки пересечения двух графиков, нужно решить систему их уравнений.
\[ \begin{cases} y=f(x),\\ y=g(x) \end{cases} \]
2. Метод подстановки:
Из одного уравнения выражают одну переменную и подставляют в другое уравнение.
3. После подстановки в каждом случае получается квадратное уравнение вида \(ax^2 + bx + c = 0\), которое решаем через дискриминант \(D = b^2 - 4ac\).
Если \(D > 0\), то уравнение имеет два действительных корня:
\(x_{1,2} = \frac{-b \pm \sqrt D}{2a}\).
4. Для нахождения второй координаты точки найденное значение \(x\) подставляют в уравнение прямой.
Вернуться к содержанию учебника