Вернуться к содержанию учебника
Выберите год учебника
№475 учебника 2023-2026 (стр. 143):
Решите систему уравнений:
а) \(\begin{cases}x^2+3xy-10y^2=0,\\ x^2-4xy+3y=0;\end{cases}\)
б) \(\begin{cases}x^2+xy-6y^2=0,\\ x^2+3xy+2y-6=0.\end{cases}\)
№475 учебника 2014-2022 (стр. 124):
После того как смешали 12 г одной жидкости и 14 г другой жидкости большей плотности, получили смесь, плотность которой равна \(1{,}3\ \text{г/см}^3\). Какова плотность каждой жидкости, если известно, что плотность одной из них на \(0{,}2\ \text{г/см}^3\) больше плотности другой?
№475 учебника 2023-2026 (стр. 143):
Вспомните:
№475 учебника 2014-2022 (стр. 124):
Вспомните:
№475 учебника 2023-2026 (стр. 143):
а) \(\begin{cases}x^2+3xy-10y^2=0, / : y^2, \, y \ne0\\ x^2-4xy+3y=0\end{cases}\)
\(\begin{cases}(\frac xy)^2+3\frac xy-10=0, \\ x^2-4xy+3y=0\end{cases}\)
\((\frac xy)^2+3\frac xy-10=0\)
Пусть \(\frac xy = t\), тогда
\(t^2 + 3t - 10 = 0\)
\(D = 3^2 - 4 \cdot 1 \cdot (-10) = \)
\(=9 + 40 = 49 > 0\) - два корня.
\(\sqrt{49} = 7\).
\(t_1 = \frac{-3 + 7}{2\cdot1} = \frac42 = 2\).
\(t_2 = \frac{-3 - 7}{2\cdot1} = \frac{-10}{2} = -5\).
Если \(t = 2\), то
\(\frac xy = 2, \Rightarrow x = 2y\).
Если \(t = 2\), то
\(\frac xy = -5, \Rightarrow x = -5y\).

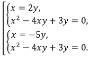
1) \(\begin{cases} x = 2y, \\ x^2-4xy+3y=0\end{cases}\)
\(\begin{cases} x = 2y, \\ (2y)^2-4\cdot2y\cdot y+3y=0\end{cases}\)
\( (2y)^2-4\cdot2y\cdot y+3y=0 \)
\( 4y^2-8y^2+3y=0 \)
\(-4y^2+3y=0 \)
\(y(-4y+3)=0 \)
\( y=0 \) или \(-4y + 3 = 0\)
\(-4y = - 3\)
\(y=\frac{3}{4} \)
\(y = 0,75\)
Если \(y=0\), то
\(x=2\cdot0=0\).
Если \(y=0,75\), то
\(x=2\cdot0,75= 1,5\).
2) \(\begin{cases} x = -5y, \\ x^2-4xy+3y=0\end{cases}\)
\(\begin{cases} x = -5y, \\ (-5y)^2-4\cdot(-5y)\cdot y+3y=0\end{cases}\)
\( (-5y)^2-4\cdot(-5y)\cdot y+3y=0 \)
\( 25y^2+20y^2+3y=0 \)
\(45y^2+3y=0 \)
\(3y(15y+1)=0 \)
\( y=0\) или \(15y + 1 = 0\)
\(15y = -1\)
\(y=-\frac{1}{15} \)
Если \(y=0\), то
\(x= -5\cdot0 = 0\).
Если \(y=-\dfrac{1}{15}\), то
\(x=-5\cdot\left(-\dfrac{1}{15}\right)=\dfrac{1}{3}\).
Ответ: \((0;0),\;(1,5;0,75),\)
\(\left(\dfrac{1}{3};-\dfrac{1}{15}\right).\)
б) \(\begin{cases}x^2+xy-6y^2=0, / : y^2, \, y \ne0\\ x^2+3xy+2y-6=0\end{cases}\)
\(\begin{cases}(\frac xy)^2+\frac xy-6=0,\\ x^2+3xy+2y-6=0\end{cases}\)
\((\frac xy)^2+\frac xy-6=0\)
Пусть \(\frac xy = t\), тогда
\(t^2 + t - 6 = 0\)
\(D = 1^2 - 4\cdot1\cdot(-6) =\)
\(=1 + 24 = 25 > 0\) - два корня.
\(\sqrt{25} = 5\).
\(t_1 = \frac{-1 + 5}{2\cdot1} = \frac42 = 2\).
\(t_2 = \frac{-1 - 5}{2\cdot1} = \frac{-6}{2} = -3\).
Если \(t = 2\), то
\(\frac xy = 2, \Rightarrow x = 2y\).
Если \(t = -3\), то
\(\frac xy = -3, \Rightarrow x = -3y\).

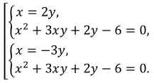
1) \(\begin{cases} x = 2y,\\ x^2+3xy+2y-6=0\end{cases}\)
\(\begin{cases} x = 2y,\\ (2y)^2+3\cdot2y\cdot y+2y-6=0\end{cases}\)
\( (2y)^2+3\cdot2y\cdot y+2y-6=0 \)
\( 4y^2+6y^2+2y-6=0 \)
\(10y^2+2y-6=0 \) \(/ : 2\)
\(5y^2+y-3=0 \)
\( D=1-4\cdot 5\cdot(-3)=\)
\(=1+60=61 > 0\) - два корня.
\( y_{1,2}=\frac{-1\pm \sqrt{61}}{10} \)
Если \( y=\frac{-1 + \sqrt{61}}{10} \), то
\( x=\cancel2\cdot\frac{-1 + \sqrt{61}}{\cancel{10}_{\color{blue}{5}} }=\frac{-1 + \sqrt{61}}{5} \).
Если \( y=\frac{-1 - \sqrt{61}}{10} \), то
\( x=\cancel2\cdot\frac{-1 - \sqrt{61}}{\cancel{10}_{\color{blue}{5}} }=\frac{-1 - \sqrt{61}}{5} \).
2) \(\begin{cases} x = -3y,\\ x^2+3xy+2y-6=0\end{cases}\)
\(\begin{cases} x = -3y,\\ (-3y)^2+3\cdot(-3y)\cdot y+2y-6=0\end{cases}\)
\((-3y)^2+3\cdot(-3y)\cdot y+2y-6=0 \)
\(\cancel{9y^2}-\cancel{9y^2}+2y-6=0 \)
\(2y-6=0 \)
\(2y = 6\)
\(y = \frac62\)
\(y=3 \)
\(x=-3\cdot 3=-9\).
Ответ: \(\left(\dfrac{-1+\sqrt{61}}{5};\dfrac{-1+\sqrt{61}}{10}\right),\)
\(\left(\dfrac{-1-\sqrt{61}}{5};\dfrac{-1-\sqrt{61}}{10}\right),\,(-9;3),\).
Пояснения:
В каждой системе левая часть первого уравнения системы - однородный многочлен, то есть многочлен, каждый член которого имеет одну и ту же степень. Обе части эт ого уравнения разделили на \(y^2\), учитывая то, что \(y\ne0\). Получили квадратное уравнение относительно \(\frac xy\). При этом мы потеряем решение \((0; 0)\) первого уравнения системы. Но так как пара \((0; 0)\) не является решением второго уравнения, то система
а) \(\begin{cases}(\frac xy)^2+3\frac xy-10=0, \\ x^2-4xy+3y=0;\end{cases}\)
б) \(\begin{cases}(\frac xy)^2+\frac xy-6=0,\\ x^2+3xy+2y-6=0\end{cases}\)
является равносильной исходной системе.
Обозначив \(\frac xy\) буквой \(t\), в каждом случае получаем квадратное уравнение вида \(at^2 + bt + c = 0\), которое решаем через дискриминант \(D = b^2 - 4ac\). Если \(D > 0\), то уравнение имеет два корня:
\(t_{1,2} = \frac{-b \pm \sqrt D}{2a}\).
Решив полученные квадратные уравнения, возвращаемся к замене \(\frac xy\) и выражаем переменную \(x\) через переменную \(y\), получаем совокупность систем уравнений, каждую систему решаем способом подстановки.
№475 учебника 2014-2022 (стр. 124):
Пусть плотность одной жидкости \(x\ \text{г/см}^3\), а плотность второй жидкости \(y\ \text{г/см}^3\) (\(x>0\), \(y > 0\)). . Тогда:
\(y=x+0{,}2\)
Общий вес смеси:
\(12+14=26\)
Объем смеси:
\(\dfrac{26}{1{,}3} = \dfrac{260}{13} = 20\)
Объём первой жидкости: \(\dfrac{12}{x}\) см3.
Объём второй жидкости: \(\dfrac{14}{y}\) см3.
Объем смеси:
\(\dfrac{12}{x}+\dfrac{14}{y}=20.\)
Составим систему:
\(\begin{cases} y=x+0{,}2, \\ \dfrac{12}{x}+\dfrac{14}{y}=20 \end{cases}\)
\(\begin{cases} y=x+0{,}2, \\ \dfrac{12}{x}+\dfrac{14}{x+0{,}2}=20 \end{cases}\)
\(\dfrac{12}{x}+\dfrac{14}{x+0{,}2}=20\) \(/\times x(x+0{,}2)\)
\(12(x + 0,2) + 14x = 20x(x + 0,2)\)
\(12x + 2,4 + 14x =20x^2 +4x\)
\(26x + 2,4 = 20x^2 + 4x\)
\(20x^2 + 4x - 26x - 2,4 = 0\)
\(20x^2 - 22x -2,4 = 0\) \(/ : 2\)
\(10x^2 - 11x - 1,2 = 0\) \(/\times 5\)
\(50x^2 - 55x - 6 = 0\)
\(D=55^2-4\cdot 50\cdot(-6)=\)
\(=3025+1200=4225 > 0\) - два корня.
\(\sqrt{4225}=65\).
\(x_1=\dfrac{55+65}{2\cdot 50}=\dfrac{120}{100} =1{,}2\).
\(x_2=\dfrac{55-65}{2\cdot 50}=\dfrac{-10}{100} =-0,1\) - не удовлетворяет условию.
Если \(x = 1,2\), то
\(y1{,}2+0{,}2=1{,}4\).
Ответ: плотности жидкостей: \(1{,}2\ \text{г/см}^3\) и \(1{,}4\ \text{г/см}^3\).
Пояснения:
Правила и формулы, которые использовались:
1. Связь массы \(m\), объёма \(V\) и плотности \(\rho\):
\[ \rho=\frac{m}{V}, \qquad V=\frac{m}{\rho}. \]
2. При смешивании массируются массы:
\(m_{\text{смеси}}=m_1+m_2\).
3. Объёмы складываются:
\(V_{\text{смеси}}=V_1+V_2\).
4. Если одна плотность больше другой на \(0{,}2\), то связь можно записать как \(y=x+0{,}2\).
5. Система уравнений решается методом подстановки. Подстановка приводит к дробно-рациональному уравнению, домножив которое на общий знаменатель дробей, входящих в уравнение, получаем квадратное уравнение.
6. Квадратное уравнение
\(ax^2 + bx + c = 0\) решается через дискриминант \(D = b^2 - 4ac\). Если \(D > 0\), то уравнение имеет 2 корня:
\(x_{1,2} = \frac{-b \pm\sqrt D}{2a}\).
Пояснение к составлению уравнений:
Смесь имеет массу \(26\) г и плотность \(1{,}3\ \text{г/см}^3\), значит её объём равен
\[ V_{\text{см}}=\frac{26}{1{,}3}=20\ \text{см}^3. \]
Объёмы исходных жидкостей выражаются через их плотности:
\[ V_1=\frac{12}{x}, \qquad V_2=\frac{14}{y}. \]
Так как объёмы складываются, получаем уравнение:
\[ \frac{12}{x}+\frac{14}{y}=20. \]
Вместе с условием разности плотностей \(y=x+0{,}2\) это даёт систему двух уравнений с двумя переменными.
Подстановкой выразили \(y\) через \(x\), свели задачу к одному уравнению с дробями. После подстановки получилось квадратное уравнение, из которого взяли положительный корень, так как плотность не может быть отрицательной.
Вернуться к содержанию учебника