Вернуться к содержанию учебника
Выберите год учебника
№472 учебника 2023-2026 (стр. 143):
Решите систему уравнений:
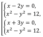
а) \(\begin{cases}(x-2y)(x+3y)=0,\\ x^2-y^2=12;\end{cases}\)
б) \(\begin{cases}x^2-4xy+3y^2+2x-6y=0,\\ x^2-xy+y^2=7.\end{cases}\)
№472 учебника 2014-2022 (стр. 124):
Из пунктов \(A\) и \(B\), расстояние между которыми равно 40 км, вышли одновременно навстречу друг другу два пешехода. Через 4 ч им осталось пройти до встречи 4 км. Если бы из пункта \(A\) пешеход вышел на 1 ч раньше, то встреча произошла бы на середине пути. С какой скоростью шёл каждый пешеход?
№472 учебника 2023-2026 (стр. 143):
Вспомните:
№472 учебника 2014-2022 (стр. 124):
Вспомните:
№472 учебника 2023-2026 (стр. 143):
а) \(\begin{cases}(x-2y)(x+3y)=0,\\ x^2-y^2=12\end{cases}\)

1) \(\begin{cases}x-2y=0,\\ x^2-y^2=12\end{cases}\)
\(\begin{cases}x=2y,\\ (2y)^2-y^2=12\end{cases}\)
\( (2y)^2-y^2=12 \)
\(4y^2-y^2=12 \)
\(3y^2=12 \)
\(y^2 = \frac{12}{3}\)
\(y^2=4 \)
\(y = \pm\sqrt4\)
\(y=2 \text{ или } y=-2 \)
Если \(y=2\), то
\(x=2\cdot 2=4\).
Если \(y=-2\), то
\(x=2\cdot(-2)=-4\).
2) \(\begin{cases}x+3y = 0,\\ x^2-y^2=12\end{cases}\)
\(\begin{cases}x=-3y,\\ (-3y)^2-y^2=12\end{cases}\)
\((-3y)^2-y^2=12\)
\( 9y^2-y^2=12\)
\(8y^2=12 \)
\(y^2=\frac{12}{8} \)
\(y^2=\frac{3}{2} \)
\(y = \pm\sqrt{\frac32}\)
\(y=\frac{\sqrt6}{2} \text{ или } y=-\frac{\sqrt6}{2} \)
Если \(y=\dfrac{\sqrt6}{2}\), то
\(x=-3\cdot\dfrac{\sqrt6}{2}=-\dfrac{3\sqrt6}{2}\).
Если \(y=-\dfrac{\sqrt6}{2}\), то
\(x=-3\cdot\left(-\dfrac{\sqrt6}{2}\right)=\dfrac{3\sqrt6}{2}\).
Ответ: \((4;2),\;(-4;-2),\)
\(\;\left(-\dfrac{3\sqrt6}{2};\dfrac{\sqrt6}{2}\right),\;\left(\dfrac{3\sqrt6}{2};-\dfrac{\sqrt6}{2}\right)\).
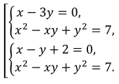
б) \(\begin{cases}x^2-4xy+3y^2+2x-6y=0,\\ x^2-xy+y^2=7.\end{cases}\)
\(\begin{cases}x^2-3xy -xy+3y^2+2x-6y=0,\\ x^2-xy+y^2=7.\end{cases}\)
\(\begin{cases}x(x-3)y - y(x-3y)+2(x-3y)=0,\\ x^2-xy+y^2=7.\end{cases}\)
\(\begin{cases}(x-3y) (x - y+2)=0,\\ x^2-xy+y^2=7.\end{cases}\)

1) \(\begin{cases} x-3y=0,\\ x^2-xy+y^2=7\end{cases}\)
\(\begin{cases} x=3y,\\ (3y)^2-xy+y^2=7\end{cases}\)
\((3y)^2-3y\cdot y+y^2=7 \)
\(9y^2-3y^2+y^2=7 \)
\(7y^2=7 \)
\(y^2=1 \)
\(y = \pm\sqrt1\)
\(y=1 \text{ или } y=-1 \)
Если \(y=1\), то
\(x=3\cdot1 = 3\).
Если \(y=-1\), то
\(x=3\cdot(-1) = -3\).
2) \(\begin{cases} x-y+2=0,\\ x^2-xy+y^2=7\end{cases}\)
\(\begin{cases} x=y-2,\\ (y-2)^2-(y-2)y+y^2=7\end{cases}\)
\((y-2)^2-(y-2)y+y^2=7 \)
\( y^2-4y+4-\cancel{y^2}+2y+\cancel{y^2}=7 \)
\(y^2-2y+4-7 = 0 \)
\(y^2-2y-3=0 \)
\(D = (-2)^2 - 4\cdot1\cdot(-3) = \)
\(=4 + 12 = 16 > 0 \) - два корня.
\(\sqrt{16} = 4\).
\(y_1 = \frac{2 + 4}{2\cdot1} = \frac{6}{2} = 3\).
\(y_2 = \frac{2 - 4}{2\cdot1} = \frac{-2}{2} = -1\).
Если \(y=3\), то
\(x = 3 - 2=1\).
При \(y=-1\), то
\(x=-1-2=-3\).
Ответ: \((3;1),\;(-3;-1),\;(1;3)\).
Пояснения:
Правила и приёмы, которые использовались:
1) Если произведение равно нулю:
\\(\;ab=0\Rightarrow a=0\) или \(b=0\).
2) Квадратное уравнение
\(ax^2 + bx + c = 0\)
решаем через дискриминант
\(D = b^2 - 4ac\).
Если \(D >0\), то уравнение имеет два корня:
\(x_{1,2} = \frac{-b\pm\sqrt D}{2a}\).
3) Вынесение общего множителя:
\(\;ab+ac=a(b+c)\).
4) Свойство степени:
\((ab)^n = a^nb^n\).
5) Квадрат разности двух выражений:
\((a - b)^2 = a^2 - 2ab + b^2\).
6) Неполное квадратное уравнение:
\(x^2 = a\) имеет корни \(x_{1,2} = \pm\sqrt a\).
Пояснение к пункту а):
Первое уравнение уже записано как произведение двух множителей. Поэтому рассматриваем два случая: каждый множитель по очереди равен нулю, то есть решаем совокупность систем уравнений. В каждом случае подставляем найденную связь между \(x\) и \(y\) во второе уравнение и получаем уравнение только с одной переменной \(y\). После нахождения \(y\) находим соответствующий \(x\).
Пояснение к пункту б):
В первом уравнении удобно сгруппировать члены так, чтобы появился общий множитель \((x-3y)\). Тогда всё уравнение превращается в произведение
\((x-3y)(x-y+2)=0\).
Поэтому рассматриваем два случая: каждый множитель по очереди равен нулю, то есть решаем совокупность систем уравнений. В каждом случае подставляем найденную связь между \(x\) и \(y\) во второе уравнение и получаем уравнение только с одной переменной \(y\). После нахождения \(y\) находим соответствующий \(x\).
№472 учебника 2014-2022 (стр. 124):
Пусть скорость пешехода из \(A\) равна \(x\) км/ч, а скорость пешехода из \(B\) равна \(y\) км/ч (\(x>0\) и \(y > 0\)). .
Через 4 часа им осталось 4 км до встречи, значит за 4 часа вместе они прошли:
\[ 40 - 4 = 36 \text{ км}. \]
За 4 ч пешеход из \(A\) прошел \(4x\) км, а пешеход из \(B\) - \(4y\) км:
\[ 4x + 4y = 36.\]
Если бы пешеход из \(A\) вышел на 1 час раньше, то до встречи он был бы в пути \(\frac{20}{x}\) ч, а пешеход из \(B\) - \(\frac{20}{y}\) ч:
\(\frac{20}{x} - \frac{20}{y} = 1\).
Составим систему уравнений:
\[ \begin{cases} 4x + 4y = 36, / : 4\\ \frac{20}{x} - \frac{20}{y} = 1 \end{cases} \]
\[ \begin{cases} x + y = 9,\\ \frac{20}{x} - \frac{20}{y} = 1 \end{cases} \]
\[ \begin{cases} x = 9 - y,\\ \frac{20}{9-y} - \frac{20}{y} = 1 \end{cases} \]
\(\frac{20}{9-y} - \frac{20}{y} = 1\) \(/\times y(9-y)\)
\(20y - 20(9-y) = y(9-y)\)
\(20y - 180 + 20y = 9y - y^2\)
\(40y - 180 = 9y - y^2\)
\(40y - 180 - 9y + y^2 = 0\)
\(y^2 + 31y - 180 = 0\)
\(D = 31^2 - 4\cdot1\cdot(-180) = \)
\(=9611 + 720 =961 > 0 \) - два корня.
\(\sqrt{1681} = 41\).
\(y_1 = \frac{-31 + 41}{2\cdot1} = \frac{10}{2} = 5\).
\(y^2 = \frac{-31 - 41}{2\cdot1} = \frac{-72}{2} = -36\) - не удовлетворяет условию.
Если \(y = 5\), то
\(x = 9 - 5 = 4\)
Ответ: пешеход из \(A\) шёл со скоростью \(4\) км/ч, пешеход из \(B\) — со скоростью \(5\) км/ч.
Пояснения:
Используемые правила и формулы:
1. Формула пути: \(\;s=vt\).
2. Если до встречи осталось 4 км, то пройденное вместе расстояние равно \(40-4 = 36\).
3. При встрече в середине пути каждый проходит половину расстояния: \(20\) км.
4. Формула времени: \(t = \frac sv\).
5. Система с двумя переменными решается методом подстановки. Подстановка приводит к дробно-рациональному уравнению, домножив которое на общий знаменатель дробей, входящих в уравнение, получаем квадратное уравнение.
6. Квадратное уравнение
\(ax^2 + bx + c = 0\) решается через дискриминант \(D = b^2 - 4ac\). Если \(D > 0\), то уравнение имеет 2 корня:
\(x_{1,2} = \frac{-b \pm\sqrt D}{2a}\).
Подробное объяснение:
Из первого условия нашли сумму скоростей: за 4 часа они вместе прошли 36 км, значит их общая скорость 9 км/ч.
Во втором условии встреча в середине означает, что оба прошли по 20 км, но первый шёл на 1 час дольше. Это приводит к уравнению:
\(\frac{20}{x} - \frac{20}{y} = 1\).
После подстановки получили квадратное уравнение, из которого выбрали положительный корень, потому что скорость не может быть отрицательной.
Вернуться к содержанию учебника