Вернуться к содержанию учебника
Выберите год учебника
№477 учебника 2023-2026 (стр. 143):
Решите систему уравнений:
а) \(\begin{cases}x^2+xy=6,\\ y^2+xy=3;\end{cases}\)
б) \(\begin{cases}x^2-xy=7,\\ y^2-xy=9.\end{cases}\)
№477 учебника 2014-2022 (стр. 125):
К раствору, содержащему 50 г соли, добавили 150 г воды. После этого его концентрация уменьшилась на 7,5%. Сколько воды содержал раствор и какова была его концентрация?
№477 учебника 2023-2026 (стр. 143):
Вспомните:
№477 учебника 2014-2022 (стр. 125):
Вспомните:
№477 учебника 2023-2026 (стр. 143):
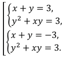
а) \(\begin{cases}x^2+xy=6,\\ y^2+xy=3;\end{cases}\) \((+)\)
\(x^2 + xy + y^2 + xy = 6 + 3\)
\(x^2 + 2xy + y^2 = 9\)
\((x + y)^2 = 9\)
\(x + y = \pm\sqrt9\)
\(x + y = \pm3\)

1) \(\begin{cases}x+y = 3,\\ y^2+xy=3\end{cases}\)
\(\begin{cases}x = 3 - y,\\ y^2+(3-y)y=3\end{cases}\)
\(y^2+(3-y)y=3\)
\(\cancel{y^2} + 3y - \cancel{y^2} = 3\)
\(3y = 3\)
\(y = 1\)
\(x = 3 - 1 = 2\).
2) \(\begin{cases}x+y = -3,\\ y^2+xy=3\end{cases}\)
\(\begin{cases}x = -3 - y,\\ y^2+(-3-y)y=3\end{cases}\)
\(y^2+(-3-y)y=3\)
\(\cancel{y^2} - 3y - \cancel{y^2} = 3\)
\(-3y = 3\)
\(y = -1\)
\(x = -3 - (-1) = -3 + 1 =-2\).
Ответ: \((2; 1)\), \((-2; -1)\).
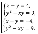
б) \(\begin{cases}x^2-xy=7,\\ y^2-xy=9.\end{cases}\) \((+)\)
\(x^2 -xy + y^2 - xy = 7 + 9\)
\(x^2 - 2xy + y^2 = 16\)
\((x - y)^2 = 16\)
\(x - y = \pm \sqrt {16}\)
\(x - y = \pm4\)

1) \(\begin{cases}x-y = 4,\\ y^2-xy=9\end{cases}\)
\(\begin{cases}x = y+4,\\ y^2-(y+4)y=9\end{cases}\)
\(y^2-(y+4)y=9\)
\(\cancel{y^2} - \cancel{y^2} - 4y = 9\)
\(-4y = 9\)
\(y = -\frac94\)
\(y = -2,25\)
\(x = -2,25 + 4 = 1,75\)
2) \(\begin{cases}x-y = -4,\\ y^2-xy=9\end{cases}\)
\(\begin{cases}x = y-4,\\ y^2-(y-4)y=9\end{cases}\)
\(y^2-(y-4)y=9\)
\(\cancel{y^2} - \cancel{y^2} + 4y = 9\)
\(4y = 9\)
\(y = \frac94\)
\(y = 2,25\)
\(x = 2,25 - 4 = -1,75\)
Ответ: \((1,75; -2,25)\), \((-1,75; 2,25)\)
Пояснения:
В каждом пункте сначала используем способ сложения при решении систем уравнений. В результате решение системы сводится к решению совокупности систем уравнений. Каждую систему решаем способом подстановки.
Используемые приемы:
- квадрат суммы и квадрат разности двух выражений:
\((a + b)^2 = a^2 + 2ab + b^2\),
\((a - b)^2 = a^2 - 2ab + b^2\).
- неполное квадратное уравнение
\(x^2 = a\) имеет корни \(x_{1,2} = \pm\sqrt a\).
№477 учебника 2014-2022 (стр. 125):
Пусть \(x\) г — масса исходного раствора; \(y\) г — масса нового раствора (\(x>0\), \(y > 0\)). Тогда
\[ y = x + 150. \]
Концентрация соли в исходном растворе: \( \frac{50}{x}. \)
Концентрация соли в новом растворе: \( \frac{50}{y}. \)
По условию концентрация уменьшилась на \(7,5\% = 0,075\), значит:
\[ \frac{50}{x} - \frac{50}{y} = 0,075. \]
Составим систему уравнений:
\[ \begin{cases} y = x + 150,\\ \frac{50}{x} - \frac{50}{y} = 0,075 \end{cases} \]
\[ \begin{cases} y = x + 150,\\ \frac{50}{x} - \frac{50}{x + 150} = 0,075 \end{cases} \]
\(\frac{50}{x} - \frac{50}{x + 150} = 0,075\) \(/\times x(x + 150)\)
\(50(x + 150) - 50x = 0,075x(x + 150)\)
\(\cancel{50x} + 7500 - \cancel{50x} = 0,075x^2 + 11,25x\)
\(7500 = 0,075x^2 + 11,25x\)
\( 0,075x^2 + 11,25x - 7500 = 0\) \(/\times 40\)
\(3x^2 + 450x - 300\,000 = 0\) \(/ : 3\)
\(x^2 + 150x - 100\,000 = 0\)
\(D = 150^2 - 4\cdot1\cdot(-100\,000) =\)
\(= 22\,500 + 400\,000= \)
\(=422\,500 > 0\) - два корня.
\(\sqrt{422\,500} = 650\).
\(x_1 = \frac{-150 + 650}{2\cdot1} = \frac{500}{2} = 250\).
\(x_2 = \frac{-150 - 650}{2\cdot1} = \frac{-800}{2} = -400\) - не удовлетворяет условию.
1) \(250\) г - масса раствора.
2) \(250 - 50 = 200\) (г) - масса воды в растворе.
3) \(\frac{50}{250}\cdot100 = \frac15\cdot100 = 20\%\) - концентрация раствора.
Ответ: в исходном растворе было 200 г воды, концентрация раствора составляла 20%.
Пояснения:
Используемые правила и формулы:
1. Концентрация раствора:
\[ c = \frac{m_{\text{вещества}}}{m_{\text{раствора}}}\cdot 100\%. \]
2. Масса нового раствора равна сумме массы исходного раствора и добавленной воды.
3. Уменьшение концентрации на 7,5% означает разность концентраций.
4. Система уравнений с двумя переменными решается методом подстановки. Подстановка приводит к дробно-рациональному уравнению, домножив которое на общий знаменатель дробей, входящих в уравнение, получаем квадратное уравнение.
5. Квадратное уравнение
\(ax^2 + bx + c = 0\) решается через дискриминант \(D = b^2 - 4ac\). Если \(D > 0\), то уравнение имеет 2 корня:
\(x_{1,2} = \frac{-b \pm\sqrt D}{2a}\).
Пояснение шагов:
В задаче неизвестны массы исходного и нового растворов, поэтому они обозначены через \(x\) и \(y\). Первое уравнение отражает добавление воды, второе — изменение концентрации.
После подстановки получили квадратное уравнение, из которого нашли массу исходного раствора, учитывая то, что масса не может быть отрицательным числом, а затем нашли массу воды и концентрацию.
Вернуться к содержанию учебника