Вернуться к содержанию учебника
Найдите координаты точек пересечения графика функции \[ y = x^{3} + 4x^{2} + x - 6 \] с осями координат.
Вспомните:
1) С осью \(y\): \(x = 0\).
\[ y = 0^{3} + 4\cdot 0^{2} + 0 - 6 = -6. \]
\( (0;\,-6)\) - точка пересечения с осью \(y\).
2) С осью \(x\): \(y = 0\).
\( x^{3} + 4x^{2} + x - 6 = 0\)
\(\pm1;\, \pm2;\, \pm3;\, \pm6\) - делители числа 2.
Если \(x = 1\), то
\( 1^{3} + 4\cdot1^{2} + 1 - 6 = 0\)
\( 1 + 4 + 1 - 6 = 0\)
\(0 = 0\) - верно.
\(x = 1\) — корень уравнения.

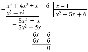
\( x^{3} + 4x^{2} + x - 6 = (x - 1)(x^{2} + 5x + 6)\)
\( (x - 1)(x^{2} + 5x + 6)=0\)
\(x^{2} + 5x + 6=0\)
\(D = 5^2 - 4\cdot1\cdot 6 = \)
\(= 25 - 24 = 1 > 0\) - 2 корня.
\(\sqrt1 = 1\).
\(x_1 = \frac{-5 + 1}{2\cdot1} = \frac{-4}{2} = -2\).
\(x_1 = \frac{-5 - 1}{2\cdot1} = \frac{-6}{2} = -3\).
Корни уравнения:
\( x = 1,\quad x = -2,\quad x = -3. \)
\( (1;\,0),\, (-2;\,0),\, (-3;\,0)\) - точки пересечения с осью \(x\).
Ответ: \( (0;\,-6),\, (1;\,0),\, (-2;\,0),\, (-3;\,0).\)
Пояснения:
1. Пересечение с осью \(Oy\)
Чтобы найти точку на оси \(Oy\), всегда подставляем \(x = 0\). Значение функции и будет координатой \(y\).
2. Пересечение с осью \(Ox\)
Чтобы найти точки пересечения с \(Ox\), нужно решить уравнение \(y = 0\). В данном случае это кубическое уравнение. Если многочлен имеет целый корень, то он является делителем свободного члена (последнего числового коэффициента). Поэтому для уравнений с целыми коэффициентами удобно проверять несколько простых значений \(x\) (например, \(\pm1, \pm2, \pm3,\dots\)). Найденное значение, при котором многочлен обращается в ноль, даёт линейный множитель \((x - x_0)\).
После нахождения корня \(x_0\) мы делим многочлен на \((x - x_0)\) (столбиком) и получаем многочлен меньшей степени. Процесс можно повторять, пока степень не станет 2, а затем решить квадратное уравнение стандартными способами (формула дискриминанта, разложение на множители).
Квадратное уравнение
\(ax^{2} + bx + c = 0\)
решается через дискриминант
\(D = b^2 - 4ac\).
Если \(D > 0\), то уравнение имеет 2 корня:
\[ x_{1,2} = \dfrac{-b \pm \sqrt{D}}{2a}. \]
Вернуться к содержанию учебника