Вернуться к содержанию учебника
Выберите год учебника
№303 учебника 2023-2026 (стр. 103):
При каких значениях \(p\) равны значения двучленов:
а) \(p^{3} - p^{2}\) и \(8p - 12\);
б) \(p^{3} - 3p\) и \(p^{2} + 1\)?
№303 учебника 2014-2022 (стр. 87):
На строительстве работали две бригады. После 5 дней совместной работы вторую бригаду перевели на другой объект. Оставшуюся часть работы первая бригада закончила за 9 дней. За сколько дней могла бы выполнить всю работу каждая бригада, работая отдельно, если известно, что второй бригаде на выполнение всей работы потребовалось бы на 12 дней меньше, чем одной первой бригаде?
№303 учебника 2023-2026 (стр. 103):
Вспомните:
№303 учебника 2014-2022 (стр. 87):
Вспомните:
№303 учебника 2023-2026 (стр. 103):
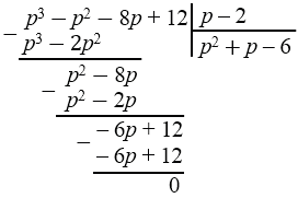
а) \( p^{3} - p^{2} = 8p - 12\)
\( p^{3} - p^{2} - 8p + 12 = 0 \)
\(\pm1;\, \pm2; \pm3; \pm4; \pm6; \pm12\) - делители числа 12.
Если \(p = 1\), то
\( 1^{3} - 1^{2} - 8\cdot1 + 12 = 0\)
\(1 - 1 - 8 + 12 = 0\)
\(4 = 0\) - неверно.
Если \(p = -1\), то
\( (-1)^{3} - (-1)^{2} - 8\cdot(-1) + 12 = 0\)
\(-1 - 1 + 8 + 12 = 0\)
\(18 = 0\) - неверно.
Если \(p = 2\), то
\( 2^{3} - 2^{2} - 8\cdot2 + 12 =0\)
\(8 - 4 - 16 + 12 = 0\)
\(0 = 0\) - верно.
\(p = 2\) — корень уравнения.
\( p^{3} - p^{2} - 8p + 12 = (p - 2)(p^{2} + p - 6)\)
\( (p - 2)(p^{2} + p - 6) = 0\)
\( p^{2} + p - 6 = 0\)
\(D = 1^2 - 4\cdot1\cdot(-6) =\)
\(=1 + 24 = 25 > 0\) - 2 корня.
\(\sqrt {25} = 5\).
\(p_{1} = \frac{-1 + 5}{2\cdot1} = \frac42=2\).
\(p_{2} = \frac{-1 - 5}{2\cdot1} = \frac{-6}{2}=-3\).
Ответ: \(2,\; -3.\)
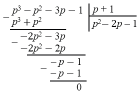
б) \( p^{3} - 3p = p^{2} + 1\)
Переносим всё в левую часть:
\(p^{3} - p^{2} - 3p - 1 =0\)
\(\pm1\) - делители числа \(1\).
Если \(p=1\), то
\(1^{3} - 1^{2} - 3\cdot1 - 1 =0\)
\(1 - 1 - 3 - 1 = 0\)
\(-4 = 0\) - неверно.
Если \(p = -1\), то
\( (-1)^{3} - (-1)^{2} - 3(-1) - 1 =0\)
\(-1 - 1 + 3 - 1 = 0\)
\(0 = 0\) - верно.
\(p = -1\) — корень уравнения.

\( p^{3} - p^{2} - 3p - 1 = (p + 1)(p^{2} - 2p - 1)\)
\((p + 1)(p^{2} - 2p - 1)=0\)
\((p^{2} - 2p - 1)=0\)
\( D = (-2)^{2} - 4\cdot1\cdot(-1) =\)
\(=4 + 4 = 8> 0\) - 2 корня.
\(\sqrt 8 = \sqrt{4\cdot2} = 2\sqrt2\).
\( p_{1,2} = \frac{2 \pm 2\sqrt{2}}{2} = 1 \pm \sqrt{2}. \)
Ответ: \(-1;\; 1 + \sqrt{2};\; 1 - \sqrt{2}.\)
Пояснения:
Чтобы найти значения \(p\), при которых два выражения равны, нужно приравнять их и получить уравнение. Затем все слагаемые из правой части уравнения переносим в левую со сменой знака и в левой части получаем многочлен третьей степени.
Если многочлен имеет целый корень, то он является делителем свободного члена (последнего числового коэффициента). Поэтому для уравнений с целыми коэффициентами удобно проверять несколько простых значений \(x\) (например, \(\pm1, \pm2, \pm3,\dots\)). Найденное значение, при котором многочлен обращается в ноль, даёт линейный множитель
\((x - x_0)\).
После нахождения корня \(x_0\) мы делим многочлен на \((x - x_0)\) (столбиком) и получаем многочлен меньшей степени. Процесс можно повторять, пока степень не станет 2, а затем решить квадратное уравнение стандартными способами (формула дискриминанта, разложение на множители).
Квадратное уравнение
\(ax^{2} + bx + c = 0\)
решается через дискриминант
\(D = b^2 - 4ac\).
Если \(D > 0\), то уравнение имеет 2 корня:
\[ x_{1,2} = \dfrac{-b \pm \sqrt{D}}{2a}. \]
№303 учебника 2014-2022 (стр. 87):
Пусть первая бригада выполняет всю работу за \(x\) дней. Тогда вторая — за \((x - 12)\) дней. Производительность первой бригады \( \frac{1}{x}\), а второй - \(\frac{1}{x - 12} \) , тогда первая бригада за 5 дней выполнит \(\frac{5}{x}\) работы, а за 9 дней - \(\frac{9}{x}\) работы, вторая бригада за 5 дней выполнит \(\frac{5}{x-12}\) работы. Весь объем примем за единицу.
Составим уравнение:
\(\frac{5}{x} + \frac{5}{x - 12} + \frac{9}{x} = 1\)
\( \frac{14}{x} + \frac{5}{x - 12} = 1\) \(/\times x(x-12)\)
ОДЗ: \(x \ne 0\) и \(x - 12 \ne 0\)
\(x \ne 12\)
\(14(x-12) +5x=x(x-12)\)
\(14x - 168 + 5x = x^2 - 12x\)
\(19x - 168 = x^2 - 12x\)
\(x^2 - 12x - 19x + 168 =0\)
\(x^2 -31x + 168 = 0\)
\(a = 1\), \(b = -31\), \(c = 168\)
\(D =b^2 - 4ac=\)
\(=(-31)^{2} - 4\cdot1 \cdot 168 = \)
\(=961 - 672 = 289 >0\) - 2 корня.
\(x_{1,2}=\frac{-b\pm \sqrt D}{2a}\), \( \sqrt{D} = 17\)
\( x_1 = \frac{31 + 17}{2\cdot1} = \frac{48}{2} = 24\).
\( x_2 = \frac{31 - 17}{2\cdot1} = \frac{14}{2} = 7\).
1) Если \(x = 7\), то
\(x - 12 = -5\) — невозможно.
2) Если \( x = 24\), то
\(24 - 12 = 12. \)
Ответ: первая бригада выполняет работу за 24 дня, вторая — за 12 дней.
Пояснения:
1. Производительность равна выполненной работе, деленной на время.
2. Производительности складываются при совместной работе.
3. По условию составляем дробное рациональное уравнение. Умножив уравнение на общий знаменатель и выполнив преобразования, получаем квадратное уравнение, из которого выбирается физически возможный корень (положительный, дающий положительное время второй бригады).
Вернуться к содержанию учебника