Вернуться к содержанию учебника
Найдите корни уравнения:
а) \(x^2 = \dfrac{7x - 4}{4x - 7}\);
б) \(x^2 = \dfrac{5x - 3}{3x - 5}\).
Вспомните:
а) \(x^2 = \dfrac{7x - 4}{4x - 7}\) \(/\times 4x - 7\)
ОДЗ: \(4x - 7 \ne 0\)
\(4x \ne 7\)
\(x \ne \dfrac{7}{4}\)
\(x \ne 1,75.\)
\[ x^2(4x - 7) = 7x - 4 \]
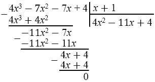
\( 4x^3 - 7x^2 - 7x + 4 = 0 \)
\(\pm1; \pm2; \pm4\) - делители числа 4.
Если \(x = -1\), то
\(4\cdot(-1)^3 - 7\cdot(-1)^2 - 7\cdot(-1) + 4 = 0\)
\(-4 - 7 + 7 + 4 = 0\)
\(0 = 0\) - верно.
\(x = -1\) - корень уравнения.

\( 4x^3 - 7x^2 - 7x + 4 = (x+1)(4x^2 - 11x + 4)\)
\(4x^2 - 11x + 4 = 0\)
\(D = (-11)^2 - 4\cdot4\cdot4 = \)
\( = 121 - 64 = 57 > 0\) - 2 корня.
\(x_{1,2} = \frac{11 \pm \sqrt{57}}{2\cdot4} =\frac{11 \pm \sqrt{57}}{8} \)
Ответ: \(-1,\; \frac{11 + \sqrt{57}}{8};\, \frac{11 - \sqrt{57}}{8}.\)
б) \(x^2 = \dfrac{5x - 3}{3x - 5}\) \(/\times3x-5\)
ОДЗ: \(3x - 5 \ne 0 \)
\(3x \ne5\)
\(x \ne \dfrac{5}{3}\)
\(x \ne 1\dfrac{2}{3}\)
\( x^2(3x - 5) = 5x - 3 \)
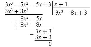
\( 3x^3 - 5x^2 - 5x + 3 = 0 \)
\(\pm1; \pm3\) - делители числа 3.
Если \(x = -1\), то
\(3\cdot(-1)^3 - 5\cdot(-1)^2 - 5\cdot(-1) + 3 = 0\)
\(-3 - 5 + 5 + 3 = 0\)
\(0 = 0\) - верно.
\(x = -1\) - корень уравнения.

\( 3x^3 - 5x^2 - 5x + 3 = (x+1)(3x^2-8x+3) \)
\((x+1)(3x^2-8x+3) =0\)
\(3x^2-8x+3 =0\)
\(D=(-8)^2 -4\cdot3\cdot3 =\)
\(=64 - 36 = 28>0\) - 2 корня.
\(\sqrt{28} = \sqrt{4\cdot7} = 2\sqrt7\).
\(x_{1,2}=\frac{8\pm2\sqrt7}{2\cdot3} = \frac{8\pm2\sqrt7}{6} =\)
\(=\frac{\cancel2(4\pm\sqrt7)}{\cancel6_ {\color{blue}{3}} } =\frac{4\pm\sqrt7}{3} .\)
Ответ: \(-1,\; \frac{4-\sqrt7}{3};\, \frac{4+\sqrt7}{3}.\)
Пояснения:
Алгоритм решения уравнений:
1) найти ОДЗ (область допустимых значений), то есть те значения переменной, при которых знаменатель обращается в нуль;
3) умножить обе части уравнения на общий знаменатель;
4) решить получившееся целое уравнение;
5) исключить из его корней те, которые совпадают с ОДЗ.
В каждом случае получили кубическое уравнение.
Если многочлен имеет целый корень, то он является делителем свободного члена (последнего числового коэффициента). Поэтому для уравнений с целыми коэффициентами удобно проверять несколько простых значений \(x\) (например, \(\pm1, \pm2, \pm3,\dots\)). Найденное значение, при котором многочлен обращается в ноль, даёт линейный множитель
\((x - x_0)\).
После нахождения корня \(x_0\) мы делим многочлен на \((x - x_0)\) (столбиком) и получаем многочлен меньшей степени. Процесс можно повторять, пока степень не станет 2, а затем решить квадратное уравнение.
Квадратное уравнение
\(ax^{2} + bx + c = 0\)
решается через дискриминант
\(D = b^2 - 4ac\).
Если \(D > 0\), то уравнение имеет 2 корня:
\[ x_{1,2} = \dfrac{-b \pm \sqrt{D}}{2a}. \]
Вернуться к содержанию учебника