Вернуться к содержанию учебника
Выберите год учебника
№2.322 учебника 2023-2026 (стр. 88):
а) В бочке 130 л воды. Для полива использовали 0,6 этой воды. Сколько литров воды использовали для полива?
б) В бочке 130 л воды. Израсходовали
этой воды. Сколько литров воды израсходовали?
в) В бочке 130 л воды, 60% этой воды ушло на полив огорода. Сколько литров воды ушло на полив огорода?
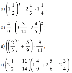
№2.322 учебника 2021-2022 (стр. 81):
Вычислите:

№2.322 учебника 2023-2026 (стр. 88):
Вспомните:
№2.322 учебника 2021-2022 (стр. 81):
Вспомните:
№2.322 учебника 2023-2026 (стр. 88):
а) 0,6 от 130 л
130 • 0,6 = 78 (л)
Ответ: 78 л воды использовали для полива.
б)
от 130 л

Ответ: 78 л воды израсходовали.
в) 60% от 130 л
60% = 0,6
130 • 0,6 = 78 (л)
Ответ: 78 л воды ушло на полив огорода.
Пояснения:
Чтобы найти дробь от числа (десятичную или обыкновенную), нужно умножить число на эту дробь.
Чтобы найти несколько процентов от числа, нужно сначала перевести проценты в десятичную дробь, а затем умножить число на полученную десятичную дробь.
Чтобы проценты записать в виде десятичной дроби, нужно число стоящее перед знаком % разделить на 100.
Чтобы умножить десятичную дробь на натуральное число, надо:
1) умножить их как натуральные числа, не обращая внимание на запятую;
2) в полученном произведении отделить запятой справа столько цифр, сколько их стоит после запятой у умножаемой дроби.
Чтобы умножить обыкновенную дробь на натуральное число, нужно ее числитель умножить на это число, а знаменатель оставить без изменения.
Чтобы вычисления были проще, не надо перемножать сразу, лучше сделать это после сокращения. Сократить дробь - значит, разделить ее числитель и знаменатель на их наибольший общий делитель.
Также помним, дробь, у которой в знаменателе стоит единица, равна своему числителю.
№2.322 учебника 2021-2022 (стр. 81):



Пояснения:
Действиями первой ступени называют сложение и вычитание чисел, а действиями второй ступени - умножение и деление чисел.
При вычислении значений выражений порядок выполнения действий определяют следующие правила:
1. Если выражение содержит только действия одной ступени и в нем нет скобок, то действия выполняют по порядку слева направо.
2. Если в выражении нет скобок, то сначала выполняют действия второй ступени, потом - действия первой ступени.
3. Если в выражении есть скобки есть скобки, то сначала выполняют действия в скобках (учитывая правила 1 и 2).
Возведение числа в степень - это пятое арифметическое действие, поэтому стоит учитывать, что: если в числовое выражение входит степень, то сначала выполняют возведение в степень, а потом - остальные действия, в соответствии с порядком их выполнения.
Красные числа, стоящие сверху над действиями, показывают в каком порядке нужно выполнять действия.
Вычисления выполняем по следующим правилам:
1) чтобы найти сумму смешанных чисел, надо: дробные части этих чисел привести к наименьшему общему знаменателю; отдельно выполнить сложение целых и отдельно дробных частей; при необходимости сократить дробь (разделить числитель и знаменатель дроби на их наибольший общий делитель), выделить целую часть (когда числитель больше знаменателя) и прибавить ее к полученной целой части;
2) чтобы найти разность смешанных чисел, надо: дробные части этих чисел привести к наименьшему общему знаменателю; если дробная часть уменьшаемого больше дробной части вычитаемого, то надо отдельно вычесть целые и отдельно дробные части и результаты сложить; если дробная часть уменьшаемого меньше дробной части вычитаемого, то надо превратить ее в неправильную дробь, уменьшив на единицу целую часть, и отдельно вычесть целые и отдельно дробные части и результаты сложить; при необходимости сократить дробь (разделить числитель и знаменатель дроби на их наибольший общий делитель);
3) чтобы найти сумму (разность) двух дробей с одинаковыми знаменателями, нужно сложить (вычесть) их числители, а знаменатель оставить прежним;
4) произведением двух дробей является дробь, числитель которой равен произведению числителей, а знаменатель - произведению знаменателей. Чтобы вычисления были проще, не надо перемножать сразу, лучше сделать это после сокращения. Сократить дробь - значит, разделить ее числитель и знаменатель на одно и то же число (наибольший общий делитель);
5) чтобы выполнить умножение смешанных чисел, нужно записать эти числа в виде неправильных дробей, а затем воспользоваться правилом умножения дробей.
Чтобы преобразовать смешанное число в неправильную дробь, надо целую часть числа умножить на знаменатель дробной части и к полученному произведению прибавить числитель дробной части; эту сумму записать как числитель неправильной дроби, а в ее знаменатель записать знаменатель дробной части смешанного числа.
Чтобы неправильную дробь, числитель которой нацело не делится на знаменатель, преобразовать в смешанное число, надо числитель разделить на знаменатель; полученное неполное частное записать как целую часть смешанного числа, а остаток - как числитель его дробной части.
Вернуться к содержанию учебника