Вернуться к содержанию учебника
Проверьте себя. Страница 99
№Проверочная работа №2 учебника 2023-2026 (стр. 99):
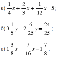
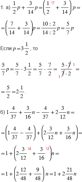
1. Упростите выражение и найдите его значение:

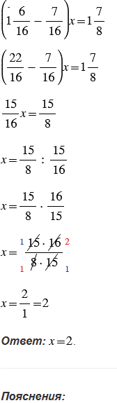
2. Решите уравнение:

№Проверочная работа №2 учебника 2023-2026 (стр. 99):
Вспомните:
№Проверочная работа №2 учебника 2023-2026 (стр. 99):





Вернуться к содержанию учебника