Вернуться к содержанию учебника
Проверьте себя. Страница 86
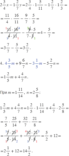
Проверочная работа №1 Проверочная работа №2 Проверочная работа №3 Проверочная работа Проверочная работа Проверочная работа №1 Проверочная работа №2
№Проверочная работа учебника 2023-2026 (стр. 86):


№Проверочная работа учебника 2023-2026 (стр. 86):
№Проверочная работа учебника 2023-2026 (стр. 86):




Вернуться к содержанию учебника