Вернуться к содержанию учебника
Выберите год учебника
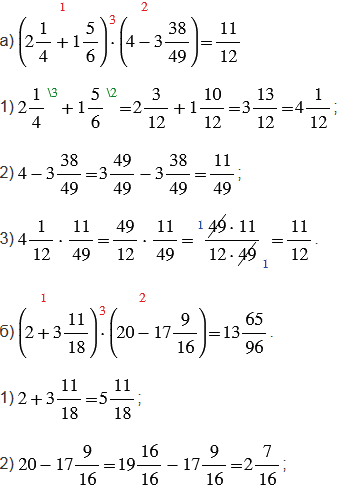
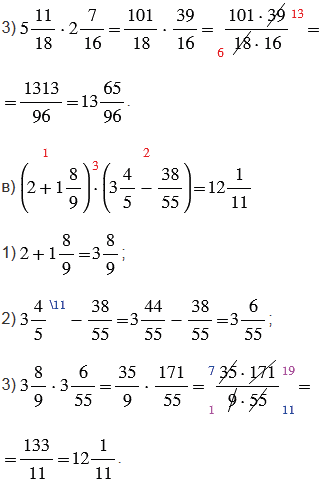
№2.379 учебника 2023-2026 (стр. 95):
Найдите значение выражения:

№2.379 учебника 2021-2022 (стр. 88):
В первом зале картинной галереи в 2 раза меньше картин, чем во втором, а в третьем на 14 картин больше, чем в первом. Найдите количество картин в каждом зале, если всего в трех залах 102 картины.
№2.379 учебника 2023-2026 (стр. 95):
Вспомните:
№2.379 учебника 2021-2022 (стр. 88):
Вспомните:
№2.379 учебника 2023-2026 (стр. 95):



Пояснения:
Действиями первой ступени называют сложение и вычитание чисел, а действиями второй ступени - умножение и деление чисел.
При вычислении значений выражений порядок выполнения действий определяют следующие правила:
1. Если выражение содержит только действия одной ступени и в нем нет скобок, то действия выполняют по порядку слева направо.
2. Если в выражении нет скобок, то сначала выполняют действия второй ступени, потом - действия первой ступени.
3. Если в выражении есть скобки есть скобки, то сначала выполняют действия в скобках (учитывая правила 1 и 2).
Красные числа, стоящие сверху над действиями, показывают в каком порядке нужно выполнять действия.
Правила, по которым выполняем вычисления:
1) чтобы найти сумму смешанных чисел, надо: дробные части этих чисел привести к наименьшему общему знаменателю; отдельно выполнить сложение целых и отдельно дробных частей; при необходимости сократить дробь (разделить числитель и знаменатель дроби на их наибольший общий делитель), выделить целую часть (когда числитель больше знаменателя) и прибавить ее к полученной целой части;
2) чтобы найти разность смешанных чисел, надо: дробные части этих чисел привести к наименьшему общему знаменателю; если дробная часть уменьшаемого больше дробной части вычитаемого, то надо отдельно вычесть целые и отдельно дробные части и результаты сложить; если дробная часть уменьшаемого меньше дробной части вычитаемого, то надо превратить ее в неправильную дробь, уменьшив на единицу целую часть, и отдельно вычесть целые и отдельно дробные части и результаты сложить; при необходимости сократить дробь (разделить числитель и знаменатель дроби на их наибольший общий делитель);
3) чтобы сложить (вычесть) две дроби с разными знаменателями, надо: привести данные дроби к общему знаменателю, а затем применить правило сложения (вычитания) дробей с одинаковыми знаменателями;
4) чтобы найти сумму (разность) двух дробей с одинаковыми знаменателями, нужно сложить (вычесть) их числители, а знаменатель оставить прежним;
5) произведением двух дробей является дробь, числитель которой равен произведению числителей, а знаменатель - произведению знаменателей;
6) чтобы выполнить умножение смешанных чисел, нужно записать эти числа в виде неправильных дробей, а затем воспользоваться правилом умножения дробей. Чтобы преобразовать смешанное число в неправильную дробь, надо целую часть числа умножить на знаменатель дробной части и к полученному произведению прибавить числитель дробной части; эту сумму записать как числитель неправильной дроби, а в ее знаменатель записать знаменатель дробной части смешанного числа.
При выполнении умножения дробей, чтобы вычисления были проще, не надо перемножать сразу, лучше сделать это после сокращения. Сократить дробь - значит, разделить ее числитель и знаменатель на одно и то же число (наибольший общий делитель).
Если при вычислениях получилась неправильная дробь (числитель больше знаменателя), ее нужно преобразовать в смешанное число. Чтобы неправильную дробь, числитель которой нацело не делится на знаменатель, преобразовать в смешанное число, надо числитель разделить на знаменатель; полученное неполное частное записать как целую часть смешанного числа, а остаток - как числитель его дробной части.
№2.379 учебника 2021-2022 (стр. 88):
Пусть в первом зале было
картин, тогда во втором зале было 2
картин, а в третьем зале - (
+ 14) картин. Всего было 102 картины.
Составим уравнение:
+ 2
+ (
+ 14) = 102
(
+ 2
+
) + 14 = 102
4
+ 14 = 102
4
= 102 - 14
4
= 88
= 88 : 4
= 22 (к.) - в 1 зале.
2
= 2 • 22 = 44 (к.) - во 2 зале.
+ 14 = 22 + 14 = 36 (к.) - в 3 зале.
Ответ: 22 картины, 44 картины, 36 картин.
Пояснения:
Решаем задачу с помощью уравнения.
Пусть в первом зале было
картин. В первом зале картинной галереи в 2 раза меньше картин, чем во втором, то есть во втором зале в 2 раза больше картин, чем в первом зале, тогда во втором зале было 2
картин. В третьем зале на 14 картин больше, чем в первом зале, тогда в третьем зале было (
+ 14) картин. Всего в трех залах 102 картины. Получается, можем составить следующее уравнение:
+ 2
+ (
+ 14) = 102.
Используя сочетательное свойство сложения, можем записать:
(
+ 2
+
) + 14 = 102.
Используя распределительное свойство умножения относительно сложения, можем упростить левую часть уравнения:
(1 + 2 + 1)
+ 14 = 102,
4
+ 14 = 102.
Чтобы найти неизвестное слагаемое, нужно из суммы вычесть известное слагаемое, тогда:
4
= 102 - 14,
4
= 88.
Чтобы найти неизвестный множитель, нужно произведение разделить на известный множитель, тогда:
= 88 : 4,
= 22.
Учитывая обозначения, введенные выше, в первом зале было 22 картины, во втором:
2
= 2 • 22 = 44 (к.),
а в третьем:
+ 14 = 22 + 14 = 36 (к.).
Вернуться к содержанию учебника