Вернуться к содержанию учебника
Выберите год учебника
№2.388 учебника 2023-2026 (стр. 96):
Корабли возвращаются в порт приписки после каждого рейса. У первого корабля рейс длится 6 дней, у второго - 5 дней, а у третьего - 20 дней. Через сколько дней корабли встретятся в порту, если в первый рейс они вышли одновременно?
№2.388 учебника 2021-2022 (стр. 91):
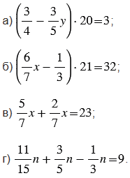
Найдите корень уравнения:

№2.388 учебника 2023-2026 (стр. 96):
Вспомните:
№2.388 учебника 2021-2022 (стр. 91):
Вспомните:
№2.388 учебника 2023-2026 (стр. 96):
5 - простое число.
6 = 2 • 3.
20 = 2 • 2 • 5
НОК(5; 6; 20) = 2 • 2 • 3 • 5 = 4 • 15 = 60.
Ответ: через 60 дней корабли встретятся в порту, если в первый рейс они вышли одновременно.
Пояснения:
Корабли возвращаются в порт приписки после каждого рейса. У первого корабля рейс длится 6 дней, у второго - 5 дней, а у третьего - 20 дней. Чтобы узнать, через сколько дней корабли встретятся в порту, если в первый рейс они вышли одновременно, нужно найти наименьшее общее кратное чисел 6, 5 и 20.
Наименьшее натуральное число, которое делится нацело на каждое из данных натуральных чисел, то есть кратно каждому из них, называют наименьшим общим кратным этих чисел.
Чтобы найти НОК нескольких натуральных чисел, надо:
Разложим на простые множители числа 5, 6 и 20.
5 - простое число.
6 = 2 • 3.
20 = 2 • 2 • 5
НОК(5; 6; 20) = 2 • 2 • 3 • 5 = 4 • 15 = 60.
Значит, через 60 дней корабли встретятся в порту, если в первый рейс они вышли одновременно.
№2.388 учебника 2021-2022 (стр. 91):









Вернуться к содержанию учебника