Вернуться к содержанию учебника
Выберите год учебника
№2.390 учебника 2023-2024 (стр. 97):
а) Было собрано 180 кг яблок. На приготовление сока израсходовали
всех яблок, а остальные яблоки оставили в свежем виде на зиму. Сколько килограммов яблок было оставлено на зиму?
б) В саду посажены 24 куста черной и красной смородины. Красная смородина составила 0,25 всех кустов. Сколько кустов черной смородины было посажено в саду?
№2.390 учебника 2021-2022 (стр. 91):
Бобр живет 15 лет, лев - в
раза дольше бобра, а дельфин - в 3 раза дольше льва. Сколько лет составляет продолжительность жизни дельфина?
№2.390 учебника 2023-2024 (стр. 97):
Вспомните:
№2.390 учебника 2021-2022 (стр. 91):
Вспомните:
№2.390 учебника 2023-2024 (стр. 97):
1)

- яблок израсходовали на сок.
2) 180 - 105 = 75 (кг)
Ответ: 75 кг яблок было оставлено на зиму.
2)

1) 24 • 0,25 = 6 (к.) - красной смородины.
| × | 2 | 4 | ||
| 0 | 2 | 5 | ||
| + | 1 | 2 | 0 | |
| 4 | 8 | |||
| 6 | 0 | 0 |
2) 24 - 6 = 18 (к.)
Ответ: 18 кустов черной смородины было посажено в саду.
Пояснения:
Чтобы найти дробь от числа (десятичную или обыкновенную), нужно умножить число на эту дробь.
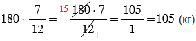
1) Было собрано 180 кг яблок. На приготовление сока израсходовали
всех яблок, значит, на приготовление сока израсходовали:

Чтобы умножить обыкновенную дробь на натуральное число, нужно ее числитель умножить на это число, а знаменатель оставить без изменения. Чтобы вычисления были проще, не надо перемножать сразу, лучше сделать это после сокращения. Сократить дробь - значит, разделить ее числитель и знаменатель на их наибольший общий делитель. Также помним, дробь, у которой в знаменателе стоит единица, равна своему числителю.
Было собрано 180 кг яблок, из которых 105 кг израсходовали на сок, а остальные оставили в свежем виде на зиму, значит, на зиму оставили:
180 - 105 = 75 (кг) яблок.
2) В саду посажены 24 куста черной и красной смородины. Красная смородина составила 0,25 всех кустов, значит, в саду было посажено:
24 • 0,25 = 6 (к.) красной смородины.
Чтобы умножить десятичную дробь на натуральное число, надо: умножить их как натуральные числа, не обращая внимание на запятую, затем в полученном произведении отделить запятой справа столько цифр, сколько их стоит после запятой у умножаемой дроби.
Из 24 кустов смородины 6 кустов - красная смородина, а остальные кусты - черная смородина, значит, в саду было посажено:
24 - 6 = 18 (к.) черной смородины.
№2.390 учебника 2021-2022 (стр. 91):


2) 25 • 3 = 75 (лет)
Ответ: 75 лет живет дельфин.
Пояснения:
По условию задачи составляем краткую запись:

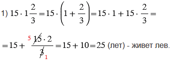
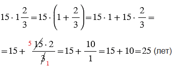
Бобр живет 15 лет, лев - в
раза дольше бобра, значит, лев живет:

Чтобы умножить смешанное число на натуральное число, используем распределительное свойство умножения, а именно, чтобы умножить смешанное число на натуральное число, можно:
1) умножить целую часть на натуральное число;
2) умножить дробную часть на это натуральное число;
3) сложить полученные результаты.
Чтобы умножить обыкновенную дробь на натуральное число, нужно ее числитель умножить на это число, а знаменатель оставить без изменения. Чтобы вычисления были проще, не надо перемножать сразу, лучше сделать это после сокращения. Сократить дробь - значит, разделить ее числитель и знаменатель на их наибольший общий делитель. Также помним, дробь, у которой в знаменателе стоит единица, равна своему числителю, а дробь, у которой числитель и знаменатель одинаковые, равна единице.
Лев живет 25 лет, а дельфин в 3 раза дольше, значит, продолжительность жизни дельфина составляет:
25 • 3 = 75 (лет).
Вернуться к содержанию учебника