Вернуться к содержанию учебника
Выберите год учебника
№598 учебника 2023-2026 (стр. 132):
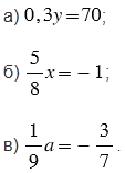
Решите уравнение:

№598 учебника 2013-2022 (стр. 132):
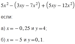
Вычислите значение выражения

№598 учебника 2023-2026 (стр. 132):
Вспомните:
№598 учебника 2013-2022 (стр. 132):
Вспомните:
№598 учебника 2023-2026 (стр. 132):



Пояснения:
При решении уравнений помним, чтобы найти неизвестный множитель, нужно произведение разделить на известный множитель.
№598 учебника 2013-2022 (стр. 132):

Пояснения:
Сначала нужно упростить выражение. Чтобы упростить выражение, нужно раскрыть скобки и привести подобные слагаемые (в решении выделены одинаковым цветом). Подобные слагаемые, которые в сумме дают ноль, вычеркнуты.
При раскрытии скобок помним:
1) если перед скобками стоит знак "+", то можно опустить скобки и этот знак "+", сохранив знаки слагаемых, стоящих в скобках. Если первое слагаемое в скобках записано без знака, то его надо записать со знаком "+";
2) Если перед скобками стоит знак " - ", то можно опустить скобки и этот знак "-", изменив знаки слагаемых, стоящих в скобках на противоположные. Если первое слагаемое в скобках записано без знака, то его надо записать со знаком " - ".
Затем в полученное упрощенное выражение вместо переменных нужно подставить числа и выполнить вычисления.
Вернуться к содержанию учебника