Вернуться к содержанию учебника
Выберите год учебника
№603 учебника 2023-2026 (стр. 133):
Преобразуйте в многочлен стандартного вида:

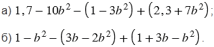
№603 учебника 2013-2022 (стр. 133):
Докажите, что значение выражения не зависит от значения переменной:

№603 учебника 2023-2026 (стр. 133):
Вспомните:
№603 учебника 2013-2022 (стр. 133):
Вспомните:
№603 учебника 2023-2026 (стр. 133):

Пояснения:
Чтобы преобразовать выражения в многочлены стандартного вида, нужно выполнить сложение или вычитание многочленов.
Чтобы найти сумму или разность многочленов, нужно раскрыть скобки и привести подобные слагаемые (в решении выделены одинаковым цветом).
При раскрытии скобок помним:
1) если перед скобками стоит знак "+", то можно опустить скобки и этот знак "+", сохранив знаки слагаемых, стоящих в скобках. Если первое слагаемое в скобках записано без знака, то его надо записать со знаком "+";
2) Если перед скобками стоит знак " - ", то можно опустить скобки и этот знак "-", изменив знаки слагаемых, стоящих в скобках на противоположные. Если первое слагаемое в скобках записано без знака, то его надо записать со знаком " - ".
№603 учебника 2013-2022 (стр. 133):

Пояснения:
Выражение не зависит от переменной, если в ходе преобразований получается выражение, не содержащее эту переменную.
При выполнении преобразований сначала раскрываем скобки, учитывая знаки, стоящие перед ними (знак "минус" перед скобками меняет знаки слагаемых в скобках при раскрытии на противоположные), далее приводим подобные слагаемые (в решении выделены одинаковым цветом). Подобные слагаемые, которые в сумме дают ноль, вычеркнуты.
Вернуться к содержанию учебника