Вернуться к содержанию учебника
Выберите год учебника
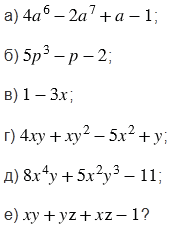
№595 учебника 2023-2026 (стр. 131):
Какова степень многочлена:

№595 учебника 2013-2022 (стр. 132):
Упростите выражение:

№595 учебника 2023-2026 (стр. 131):
Вспомните:
№595 учебника 2013-2022 (стр. 132):
Вспомните:
№595 учебника 2023-2026 (стр. 131):

№595 учебника 2013-2022 (стр. 132):

Пояснения:
Чтобы упростить выражения, нужно раскрыть скобки и привести подобные слагаемые (в решении выделены одинаковым цветом). Подобные слагаемые, которые в сумме дают ноль, вычеркнуты.
При раскрытии скобок помним:
1) если перед скобками стоит знак "+", то можно опустить скобки и этот знак "+", сохранив знаки слагаемых, стоящих в скобках. Если первое слагаемое в скобках записано без знака, то его надо записать со знаком "+";
2) Если перед скобками стоит знак " - ", то можно опустить скобки и этот знак "-", изменив знаки слагаемых, стоящих в скобках на противоположные. Если первое слагаемое в скобках записано без знака, то его надо записать со знаком " - ".
Вернуться к содержанию учебника