Вернуться к содержанию учебника
№4.301 учебника 2021-2022 (стр. 55):
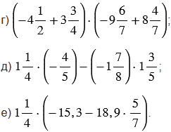
Вычислите:
а) 46 • (-4) - (-32) • (-6) + (-15) • (-20);
б) (-1,6 + 7,2 - 4,6 + 8,1) • (-2,3);
в) (3,2 - 6,7) • (-4,4 + 6,1);

№4.301 учебника 2021-2022 (стр. 55):
Вспомните:
№4.301 учебника 2021-2022 (стр. 55):




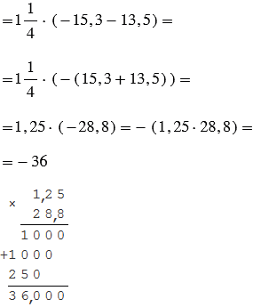
Пояснения:
Порядок выполнения действий определяем по следующим правилам:
1) если в выражении нет скобок (скобки, которые определяют отрицательное число не учитываем) и оно содержит действия первой (сложение и вычитание) и второй (умножение и деление) ступени, то сначала выполняют действия второй ступени по порядку слева направо, а потом действия первой ступени, также по прядку слева направо;
2) если в выражении есть скобки (скобки, которые определяют отрицательное число не учитываем), то сначала выполняют действия в скобках, а затем за скобками, учитывая при этом правило 1.
Обратите внимание, в пункте б) скобки содержат сумму положительных и отрицательных чисел, поэтому сначала складываем числа с одинаковыми знаками, а затем складываем полученные результаты.
При выполнении вычислений помним:
1) чтобы сложить два числа с разными знаками, надо: найти модули слагаемых; из большего модуля вычесть меньший модуль; перед полученным числом поставить знак слагаемого с большим модулем;
2) чтобы сложить два отрицательных числа, надо: найти модули слагаемых; сложить модули слагаемых; перед полученным числом поставить знак "-";
3) чтобы из данного числа вычесть другое, надо к уменьшаемому прибавить число, противоположное вычитаемому;
4) чтобы перемножить два числа с разными знаками, надо умножить их модули и перед полученным произведением поставить знак "-";
5) чтобы перемножить два отрицательных числа, надо перемножить их модули.
Правила вычислений с дробями смотрите в подсказке.
Вернуться к содержанию учебника