Вернуться к содержанию учебника
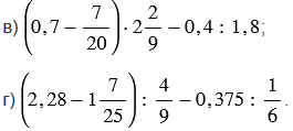
№6.18 учебника 2023-2026 (стр. 100):
Вычислите:
а) 21 + 9,7 • (3,4 - 3,7);
б) (134,31 : 3,3 + 4,4) : 1,1 + 8,8;

№6.18 учебника 2023-2026 (стр. 100):
Вспомните:
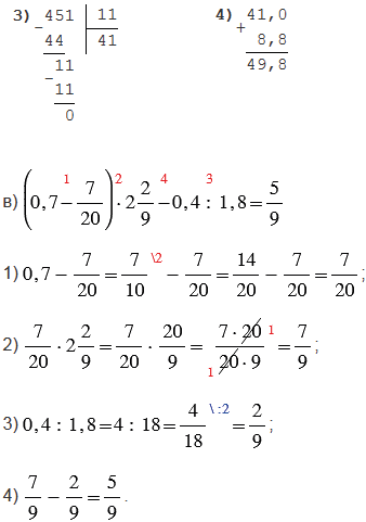
№6.18 учебника 2023-2026 (стр. 100):



Пояснения:
Действиями первой ступени называют сложение и вычитание чисел, а действиями второй ступени - умножение и деление чисел.
При вычислении значений выражений порядок выполнения действий определяют следующие правила:
1. Если выражение содержит только действия одной ступени и в нем нет скобок, то действия выполняют по порядку слева направо.
2. Если в выражении нет скобок, то сначала выполняют действия второй ступени, потом - действия первой ступени.
3. Если в выражении есть скобки, то сначала выполняют действия в скобках (учитывая правила 1 и 2).
Красные числа, стоящие сверху над действиями, показывают в каком порядке нужно выполнять действия.
Вернуться к содержанию учебника