Вернуться к содержанию учебника
№6.13 учебника 2023-2026 (стр. 100):
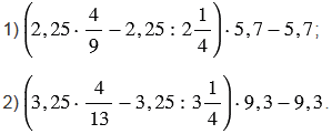
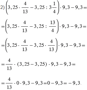
Выполните действия:

№6.13 учебника 2023-2026 (стр. 100):
Вспомните:
№6.13 учебника 2023-2026 (стр. 100):


Пояснения:
В каждом из выражений сначала преобразуем смешанные числа, стоящие в скобках в неправильные дроби. Затем от деления в скобках переходим к умножению. В скобках получается одинаковый множитель, который выносим за скобки (распределительное свойство умножения). В скобках остается разность, которая равна нулю, а при умножении на ноль всегда получается ноль.
Вернуться к содержанию учебника