Вернуться к содержанию учебника
Проверьте себя
Проверочная работа на повторение №1
1. Запишите дроби
в порядке:
а) возрастания;
б) убывания.
2. Представьте в виде неправильной дроби числа:

3. Запишите:
а) все правильные дроби со знаменателем 4;
б) все неправильные дроби с числителем 5;
в) две дроби, большие
, но меньшие
.
4. Выполните деление с остатком:
а) 34 851 на 56;
б) 85 302 на 13.
5. Из натуральных чисел, больших 5, но меньших 23, выпишите:
а) четные;
б) нечетные;
в) кратные числа 3;
г) кратные числа 10;
д) кратные числа 9;
е) кратные числа 5 и нечетные.
6. Какие точки на рисунке 14:
а) лежат в круге;
б) не лежат в круге;
в) лежат на окружности;
г) не лежат на окружности;
д) лежат на диаметре АВ?

Рис. 14
7. В вагоне поезда 54 места для пассажиров,
мест заняты.
а) Какая часть свободных мест в вагоне?
б) Сколько свободных мест осталось?
Проверочная работа на повторение №2
1. Выполните действия:

2. Запишите в виде обыкновенной дроби или смешанного числа:
а) 4,6;
б) 56,01;
в) 108,056;
г) 19,45;
д) 0,000006;
е) 601,43021.
3. Найдите значение выражения:
а) (54,037 + 307,003) : 2 - 84,045;
б) 985,738 + 5,0025 : 5 - 981,7384.
4. По формуле периметра прямоугольника
найдите:

5. Длина кабинета 6,3 м, ширина - 5,7 м. Найдите высоту кабинета, если его объем равен 107,73 м3.
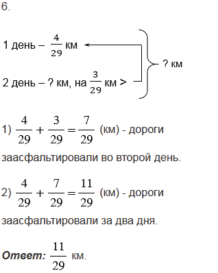
6. В первый день заасфальтировали
км дороги, во второй - на
км больше.
а) Сколько километров дороги заасфальтировали во второй день?
б) Сколько километров дороги заасфальтировали за два дня?
Вспомните:
стр. 170-171 учебника 2023-2026:





стр. 170-171 учебника 2023-2026:







Вернуться к содержанию учебника