Вернуться к содержанию учебника
Выберите год учебника
№2.400 учебника 2023-2024 (стр. 97):
Поезд шел 5 ч со скоростью
км/ч и 5 ч со скоростью
км/ч. Сколько километров прошел поезд за эти 10 ч?
№2.400 учебника 2021-2022 (стр. 92):
Вычислите:
|
а) 90 - 73 • 4 - 26 : 7 ? |
б) 750 : 250 • 140 + 360 : 19 ? |
|
в) 0,7 • 6 - 3,6 + 5 : 14 ? |
г) 5,4 : 0,9 • 0,4 + 1,6 : 10 ? |
|
д) 0,48 : 0,6 + 4,2 : 2,5 • 10 ? |
№2.400 учебника 2023-2024 (стр. 97):
Вспомните:
№2.400 учебника 2021-2022 (стр. 92):
Вспомните:
№2.400 учебника 2023-2024 (стр. 97):


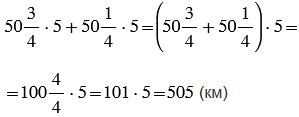
Ответ: 505 км прошел поезд.
Пояснения:
Чтобы найти расстояние, нужно скорость умножить на время.
Чтобы найти расстояние, пройденное за 10 ч, нужно сложить расстояние, пройденное за первые 5 ч, и расстояние, пройденное за вторые 5 ч. Получим, что за 10 ч поезд прошел:

При вычислении используем распределительное свойство умножения относительно сложения, то есть выносим одинаковый множитель 5 за скобки. Затем выполняем сложение в скобках и умножаем полученный результат на 5.
Чтобы найти сумму двух смешанных чисел, надо отдельно сложить их целые и дробные части. Чтобы найти сумму двух дробей с одинаковыми знаменателями, нужно сложить их числители, а знаменатель оставить прежним. Также помним, дробь, у которой числитель и знаменатель одинаковые, равна единице.
№2.400 учебника 2021-2022 (стр. 92):
|
а) 90 - 73 = 17 17 • 4 = 68 68 - 26 = 42 42 : 7 = 6 |
б) 750 : 250 = 3 3 • 140 = 420 420 + 360 = 780 780 : 19 =
|
|||||||||||||||||||||||||||||||||||||||||||
|
в) 0,7 • 6 = 4,2 4,2 - 3,6 = 0,6 0,6 + 5 = 5,6 5,6 : 14 = 0,4 |
г) 5,4 : 0,9 = 6 6 • 0,4 = 2,4 2,4 + 1,6 = 4 4 : 10 = 0,4 |
|||||||||||||||||||||||||||||||||||||||||||
|
д) 0,48 : 0,6 = 0,8 0,8 + 4,2 = 5 5 : 2,5 = 2 2 • 10 = 20 |
||||||||||||||||||||||||||||||||||||||||||||
Пояснения:
В пункте б) скорее всего допущена опечатка.
Вернуться к содержанию учебника