Вернуться к содержанию учебника
Выберите год учебника
№2.402 учебника 2023-2026 (стр. 98):
Маша читала рассказ в течение
ч, а учила стихотворение на
ч дольше, чем читала рассказ. Сколько минут Маша затратила на выполнение домашнего задания по литературе?
№2.402 учебника 2021-2022 (стр. 92):
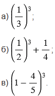
Выполните действия:

№2.402 учебника 2023-2026 (стр. 98):
Вспомните:
№2.402 учебника 2021-2022 (стр. 92):
Вспомните:
№2.402 учебника 2023-2026 (стр. 98):



№2.402 учебника 2021-2022 (стр. 92):

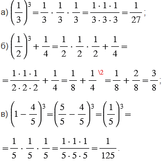
Пояснения:
Чтобы возвести число в степень, нужно умножить это число само на себя столько раз, какова его степень.
Если выражение содержит число степени, то сначала нужно возвести это число в степень, а затем выполнить остальные действия.
Если выражение содержит действие в степени, то сначала нужно выполнить действие под степенью, затем возвести полученный результат в степень и выполнить оставшиеся действия.
Произведением двух дробей является дробь, числитель которой равен произведению числителей, а знаменатель - произведению знаменателей.
Чтобы сложить две дроби с разными знаменателями, надо: привести данные дроби к общему знаменателю (наименьшее общее кратное знаменателей складываемых дробей), используя основное свойство дроби, а затем применить правило сложения дробей с одинаковыми знаменателями: чтобы найти сумму двух дробей с одинаковыми знаменателями, нужно сложить их числители, а знаменатель оставить прежним.
Чтобы из единицы вычесть правильную дробь, нужно представить единицу в виде неправильной дроби с одинаковыми числителем и знаменателем, равными знаменателю вычитаемой дроби, а затем из числителя уменьшаемого вычесть числитель вычитаемого, а знаменатель оставить прежним.
Вернуться к содержанию учебника