Вернуться к содержанию учебника
Выберите год учебника
№468 учебника 2023-2026 (стр. 109):
Известно, что график функции
проходит через точку А(3,7; -2). Найдите значение коэффициента
.
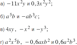
№468 учебника 2013-2022 (стр. 111):
Перемножьте одночлены:

№468 учебника 2023-2026 (стр. 109):
Вспомните:
№468 учебника 2013-2022 (стр. 111):
№468 учебника 2023-2026 (стр. 109):


№468 учебника 2013-2022 (стр. 111):

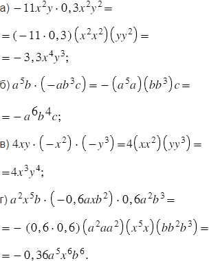
Пояснения:
Одночлены - это выражения, представляющие собой произведение чисел, переменных и их степеней. При умножении одночленов и возведении одночлена в степень используются правило умножения степеней с одинаковыми основаниями и правило возведения степени в степень. При этом получается одночлен, который обычно представляют в стандартном виде.
Вернуться к содержанию учебника