Вернуться к содержанию учебника
Выберите год учебника
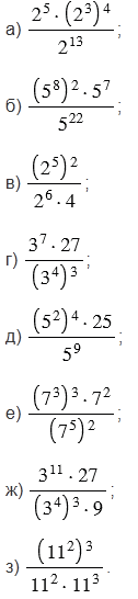
№465 учебника 2023-2026 (стр. 109):
Найдите значение выражения:

№465 учебника 2013-2022 (стр. 110):
Функция задана формулой
Найдите значение функции при
При каком
значение
равно 1; -6; -10,2?
№465 учебника 2023-2026 (стр. 109):
Вспомните:
№465 учебника 2013-2022 (стр. 110):
№465 учебника 2023-2026 (стр. 109):

Пояснения:
При возведении степени в степень основание оставляют тем же, а показатели перемножают.
При умножении степеней с одинаковыми основаниями основание оставляют прежним, а показатели степеней складывают.
Также учитываем то, что черту дроби можно заменить делением (числитель разделить на знаменатель), а при делении степеней с одинаковыми основаниями основание оставляют прежним, а из показателя степени делимого вычитают показатель степени делителя.
№465 учебника 2013-2022 (стр. 110):


Вернуться к содержанию учебника