Вернуться к содержанию учебника
Выберите год учебника
№469 учебника 2023-2026 (стр. 109):
На рисунке 74 построен график некоторой функции. Используя график, найдите:
а) значение
при
, равном -2; -1; 2;
б) значения
, при которых
равен -0,5; 2.
№469 учебника 2013-2022 (стр. 111):
Выполните умножение:

№469 учебника 2023-2026 (стр. 109):
Вспомните:
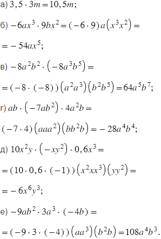
№469 учебника 2013-2022 (стр. 111):
№469 учебника 2023-2026 (стр. 109):



№469 учебника 2013-2022 (стр. 111):

Пояснения:
Одночлены - это выражения, представляющие собой произведение чисел, переменных и их степеней. При умножении одночленов и возведении одночлена в степень используются правило умножения степеней с одинаковыми основаниями и правило возведения степени в степень. При этом получается одночлен, который обычно представляют в стандартном виде.
Вернуться к содержанию учебника