Вернуться к содержанию учебника
Выберите год учебника
№473 учебника 2023-2026 (стр. 111):
Приведите одночлен к стандартному виду:

№473 учебника 2013-2022 (стр. 111):
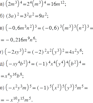
Представьте в виде одночлена стандартного вида:

№473 учебника 2023-2026 (стр. 111):
Вспомните:
№473 учебника 2013-2022 (стр. 111):
№473 учебника 2023-2026 (стр. 111):

Пояснения:
Одночлены - это выражения, представляющие собой произведение чисел, переменных и их степеней. Одночленами также считают числа, переменные и их степени. Если одночлен представлен в виде произведения числового множителя, который стоит на первом месте, и степеней с различными основаниями, то его называют одночленом стандартного вида.
Правила, по которым выполнены вычисления, смотри в подсказке.
№473 учебника 2013-2022 (стр. 111):

Пояснения:
Одночлены - это выражения, представляющие собой произведение чисел, переменных и их степеней. Одночленами также считают числа, переменные и их степени. При умножении одночленов и возведении одночлена в степень используются правило умножения степеней с одинаковыми основаниями и правило возведения степени в степень. При этом получается одночлен, который обычно представляют в стандартном виде.
Вернуться к содержанию учебника