Вернуться к содержанию учебника
Выберите год учебника
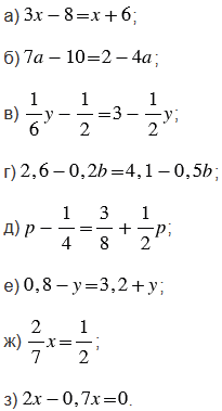
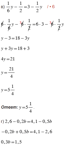
№149 учебника 2023-2026 (стр. 36):
Решите уравнение:

№149 учебника 2013-2022 (стр. 33):
Прибыль, полученная фирмой за первые два квартала текущего года, составила 126 000 р., причем прибыль, полученная во втором квартале была на 10% выше, чем в первом. Какую прибыль получила фирма в первом квартале?
№149 учебника 2023-2026 (стр. 36):
Вспомните:
№149 учебника 2013-2022 (стр. 33):
Вспомните:
Вернуться к содержанию учебника