Вернуться к содержанию учебника
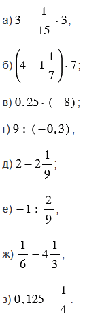
№4.384 учебника 2023-2026 (стр. 69):
Выполните действия:

№4.384 учебника 2023-2026 (стр. 69):
Вспомните:
№4.384 учебника 2023-2026 (стр. 69):


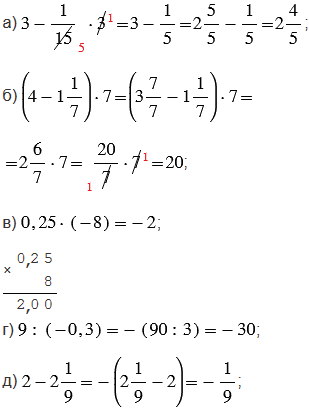
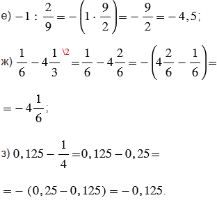
Пояснения:
Если в выражении нет скобок и оно содержит действия первой (сложение и вычитание) и второй (умножение и деление) ступени, то сначала выполняют действия второй ступени по порядку слева направо, а потом действия первой ступени, также по прядку слева направо.
Если в выражении есть скобки, то сначала выполняют действия в скобках, учитывая при этом правило выше.
При выполнении вычислений помним:
1) чтобы из данного числа вычесть другое, надо к уменьшаемому прибавить число, противоположное вычитаемому;
2) чтобы сложить два числа с разными знаками, надо: найти модули слагаемых; из большего модуля вычесть меньший модуль; перед полученным числом поставить знак слагаемого с большим модулем;
3) чтобы перемножить два числа с разными знаками, надо умножить их модули и перед полученным произведением поставить знак "-";
4) чтобы найти частное двух чисел с разными знаками, надо разделить модуль делимого на модуль делителя и поставить перед полученным числом знак "-".
Правила, по которым выполнены вычисления с дробями, смотрите в подсказке.
Вернуться к содержанию учебника