Вернуться к содержанию учебника
№4.379 учебника 2023-2024 (стр. 69):
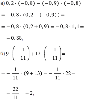
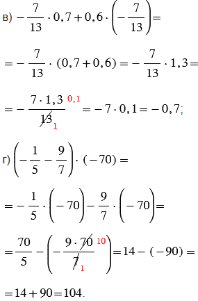
Вычислите значение выражения наиболее удобным способом:

№4.379 учебника 2023-2024 (стр. 69):
Вспомните:
№4.379 учебника 2023-2024 (стр. 69):


Пояснения:
При выполнении вычислений используем распределительное свойство умножения, т.е. в пунктах а), б) и в) выносим одинаковые множители за скобки, затем выполняем вычисления в скобках и умножаем полученный результат на вынесенный множитель, а в пункте г), наоборот, раскрываем скобки умножая каждый из компонентов, стоящих в скобках, на множитель, стоящий за скобками, затем складываем полученные произведения.
При выполнении вычислений помним:
1) чтобы перемножить два числа с разными знаками, надо умножить их модули и перед полученным произведением поставить знак "-";
2) чтобы перемножить два отрицательных числа, надо перемножить их модули;
3) чтобы из данного числа вычесть другое, надо к уменьшаемому прибавить число, противоположное вычитаемому;
4) чтобы умножить десятичную дробь на натуральное число, надо: умножить их как натуральные числа, не обращая внимание на запятую; в полученном произведении отделить запятой справа столько цифр, сколько их стоит после запятой у умножаемой дроби;
5) чтобы умножить обыкновенную дробь на натуральное число, нужно ее числитель умножить на это число, а знаменатель оставить без изменения.
Также при вычислениях с обыкновенными дробями, если возможно, выполняем сокращение.
Вернуться к содержанию учебника