Задание 4.382 - ГДЗ Математика 6 класс. Виленкин, Жохов. Учебник часть 2. Страница 69

Старая и новая редакции

Вернуться к содержанию учебника

4.379 4.380 4.381 4.382 4.383 4.384 4385

Вопрос

№4.382 учебника 2023-2026 (стр. 69):

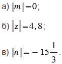
Назовите корни уравнения:

Подсказка

№4.382 учебника 2023-2026 (стр. 69):

Вспомните:

  1. Что называют корнем уравнения.
  2. Модуль числа.

Ответ

№4.382 учебника 2023-2026 (стр. 69):


Вернуться к содержанию учебника