Вернуться к содержанию учебника
№4.335 учебника 2023-2026 (стр. 61):
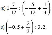
Выполните действия:
а) (46 - 53) : 0,7;
б) (-42,6 - 57,4) : (-0,01);
в) (-34,1 + 44,9) : 2,7;
г) 652,8 : (-95,1 + 93,5);
д) 5,4 : (-0,2 • 0,3);
е) -0,612 : (-0,4 • 0,2 - 0,1);

№4.335 учебника 2023-2026 (стр. 61):
Вспомните:
№4.335 учебника 2023-2026 (стр. 61):
а) (46 - 53) : 0,7 = -(53 - 46) : 0,7 =
= -7 : 0,7 = -(70 : 7) = -10;
б) (-42,6 - 57,4) : (-0,01) =
=(-42,6 + (-57,4)) : (-0,01) =
= -(42,6 + 57,4) : (-0,01) =
= -100 : (-0,01) = 10 000;
в) (-34,1 + 44,9) : 2,7 =
= (44,9 - 34,1) : 2,7 = 10,8 : 2,7 =
= 108 : 27 = 4;
г) 652,8 : (-95,1 + 93,5) =
= 652,8 :(-(95,1 - 93,5)) =
= 652,8 : (-1,6) = -(6528 : 16) = -408;
| - | 6 | 5 | 2 | 8 | 1 | 6 | ||||||||||
| 6 | 4 | 4 | 0 | 8 | ||||||||||||
| - | 1 | 2 | 8 | |||||||||||||
| 1 | 2 | 8 | ||||||||||||||
| 0 |
д) 5,4 : (-0,2 • 0,3) = 5,4 : (-0,06) =
= =(540 : 6) = -90;
е) -0,612 : (-0,4 • 0,2 - 0,1) =
= -0,612 : (-0,08 + (-0,1)) =
= -0,612 : (-0,18) = 61,2 : 18 = 3,4;
| - | 6 | 1 | 2 | 1 | 8 | ||||||||||
| 5 | 4 | 3 | 4 | ||||||||||||
| - | 7 | 2 | |||||||||||||
| 7 | 2 | ||||||||||||||
| 0 |


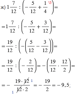
Пояснения:
Порядок выполнения действий определяем по следующим правилам:
1) если в выражении нет скобок (скобки, которые определяют отрицательное число не учитываем) и оно содержит действия первой (сложение и вычитание) и второй (умножение и деление) ступени, то сначала выполняют действия второй ступени по порядку слева направо, а потом действия первой ступени, также по прядку слева направо;
2) если в выражении есть скобки (скобки, которые определяют отрицательное число не учитываем), то сначала выполняют действия в скобках, а затем за скобками, учитывая при этом правило 1.
При выполнении вычислений помним:
1) чтобы сложить два числа с разными знаками, надо: найти модули слагаемых; из большего модуля вычесть меньший модуль; перед полученным числом поставить знак слагаемого с большим модулем;
2) чтобы сложить два отрицательных числа, надо: найти модули слагаемых; сложить модули слагаемых; перед полученным числом поставить знак "-";
3) чтобы из данного числа вычесть другое, надо к уменьшаемому прибавить число, противоположное вычитаемому;
4) чтобы перемножить два числа с разными знаками, надо умножить их модули и перед полученным произведением поставить знак "-";
5) чтобы перемножить два отрицательных числа, надо перемножить их модули;
6) чтобы найти частное двух отрицательных чисел, надо разделить модуль делимого на модуль делителя;
7) чтобы найти частное двух чисел с разными знаками, надо разделить модуль делимого на модуль делителя и поставить перед полученным числом знак "-".
Правила, по которым выполнены вычисления, смотрите в подсказке.
Вернуться к содержанию учебника