Вернуться к содержанию учебника
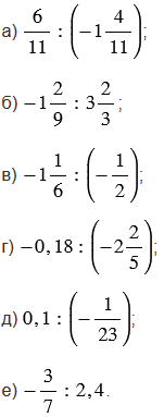
№4.333 учебника 2023-2026 (стр. 61):
Найдите частное:

№4.333 учебника 2023-2026 (стр. 61):
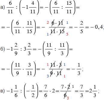
Вспомните:
№4.333 учебника 2023-2026 (стр. 61):


Пояснения:
Чтобы найти частное двух чисел с разными знаками, надо разделить модуль делимого на модуль делителя и поставить перед полученным числом знак "-".
Чтобы найти частное двух отрицательных чисел, надо разделить модуль делимого на модуль делителя.
Правила, по которым выполнены вычисления с дробями, смотрите в подсказке.
Вернуться к содержанию учебника