Вернуться к содержанию учебника
Выберите год учебника
№2.321 учебника 2023-2024 (стр. 88):
Что больше и на сколько:
а) 24% от 46 или 42% от 25;
б) 76% от 120 или 112% от 84;
в) 65% от 52 или 52% от 65;
г) 0,2% от 50 или 0,5% от 20?
№2.321 учебника 2021-2022 (стр. 81):
Найдите значение выражения:

№2.321 учебника 2023-2024 (стр. 88):
Вспомните:
№2.321 учебника 2021-2022 (стр. 81):
Вспомните:
№2.321 учебника 2023-2024 (стр. 88):
а) 24% от 46 или 42% от 25
|
24% = 0,24 46 • 0,24 = 11,04
|
42% = 0,42 25 • 0,42 = 10,5
|
11,04 > 10,5
11,04 - 10,5 = 0,54
| • | |||||
| - | 1 | 1 | , | 0 | 4 |
| 1 | 0 | , | 5 | 0 | |
| 0 | , | 5 | 4 |
Ответ: 24% от 46 больше 42% от 25 на 0,54.
б) 76% от 120 или 112% от 84
|
76% = 0,76 120 • 0,76 = 91,2
|
112% = 1,12 84 • 1,12 = 94,08
|
91,2 < 94,08
94,08 - 91,2 = 2,88
| • | |||||
| - | 9 | 4 | , | 0 | 8 |
| 9 | 1 | , | 2 | 0 | |
| 2 | , | 8 | 8 |
Ответ: 76% от 120 меньше 112% от 84 на 2,88.
в) 65% от 52 или 52% от 65
|
65% = 0,65 52 • 0,65 = 33,8
|
52% = 0,52 65 • 0,52 = 33,8
|
33,8 = 33,8
Ответ: 65% от 52 равно 52% от 65.
г) 0,2% от 50 или 0,5% от 20
|
0,2% = 0,002 50 • 0,002 = 0,1 |
0,5% = 0,005 20 • 0,005 = 0,1 |
0,1 = 0,1
Ответ: 0,2% от 50 равно 0,5% от 20.
Пояснения:
Чтобы найти несколько процентов от числа, нужно сначала перевести проценты в десятичную дробь, а затем умножить число на полученную десятичную дробь.
Чтобы проценты записать в виде десятичной дроби, нужно число стоящее перед знаком % разделить на 100.
Чтобы умножить десятичную дробь на натуральное число, надо:
1) умножить их как натуральные числа, не обращая внимание на запятую;
2) в полученном произведении отделить запятой справа столько цифр, сколько их стоит после запятой у умножаемой дроби.
Из двух десятичных дробей с разными целыми частями больше та дробь, у которой целая часть больше.
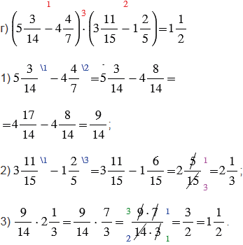
№2.321 учебника 2021-2022 (стр. 81):



Пояснения:
Действиями первой ступени называют сложение и вычитание чисел, а действиями второй ступени - умножение и деление чисел.
При вычислении значений выражений порядок выполнения действий определяют следующие правила:
1. Если выражение содержит только действия одной ступени и в нем нет скобок, то действия выполняют по порядку слева направо.
2. Если в выражении нет скобок, то сначала выполняют действия второй ступени, потом - действия первой ступени.
3. Если в выражении есть скобки есть скобки, то сначала выполняют действия в скобках (учитывая правила 1 и 2).
Красные числа, стоящие сверху над действиями, показывают в каком порядке нужно выполнять действия.
Вычисления выполняем по следующим правилам:
1) чтобы найти сумму смешанных чисел, надо: дробные части этих чисел привести к наименьшему общему знаменателю; отдельно выполнить сложение целых и отдельно дробных частей; при необходимости сократить дробь (разделить числитель и знаменатель дроби на их наибольший общий делитель), выделить целую часть (когда числитель больше знаменателя) и прибавить ее к полученной целой части;
2) чтобы из единицы вычесть правильную дробь, нужно единицу представить в виде неправильной дроби с одинаковыми числителем и знаменателем, равными знаменателю вычитаемой дроби;
3) чтобы найти разность смешанных чисел, надо: дробные части этих чисел привести к наименьшему общему знаменателю; если дробная часть уменьшаемого больше дробной части вычитаемого, то надо отдельно вычесть целые и отдельно дробные части и результаты сложить; если дробная часть уменьшаемого меньше дробной части вычитаемого, то надо превратить ее в неправильную дробь, уменьшив на единицу целую часть, и отдельно вычесть целые и отдельно дробные части и результаты сложить; при необходимости сократить дробь (разделить числитель и знаменатель дроби на их наибольший общий делитель);
4) чтобы найти сумму (разность) двух дробей с одинаковыми знаменателями, нужно сложить (вычесть) их числители, а знаменатель оставить прежним;
5) произведением двух дробей является дробь, числитель которой равен произведению числителей, а знаменатель - произведению знаменателей. Чтобы вычисления были проще, не надо перемножать сразу, лучше сделать это после сокращения. Сократить дробь - значит, разделить ее числитель и знаменатель на одно и то же число (наибольший общий делитель);
6) чтобы выполнить умножение смешанных чисел, нужно записать эти числа в виде неправильных дробей, а затем воспользоваться правилом умножения дробей.
Чтобы преобразовать смешанное число в неправильную дробь, надо целую часть числа умножить на знаменатель дробной части и к полученному произведению прибавить числитель дробной части; эту сумму записать как числитель неправильной дроби, а в ее знаменатель записать знаменатель дробной части смешанного числа.
Чтобы неправильную дробь, числитель которой нацело не делится на знаменатель, преобразовать в смешанное число, надо числитель разделить на знаменатель; полученное неполное частное записать как целую часть смешанного числа, а остаток - как числитель его дробной части.
Вернуться к содержанию учебника