Вернуться к содержанию учебника
Выберите год учебника
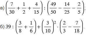
№1.79 учебника 2023-2026 (стр. 24):
Вычислите:

№1.79 учебника 2021-2022 (стр. 23):
Постройте развернутый угол РОТ и проведите луч ОS. Чему равны углы РОS и SOT, если:
а) угол POS вдвое меньше угла SOT;
б) угол POS на 800 больше угла SOT;
в) угол SOT в 5 раз больше угла POS?
№1.79 учебника 2023-2026 (стр. 24):
Вспомните:
№1.79 учебника 2021-2022 (стр. 23):
№1.79 учебника 2023-2026 (стр. 24):


Пояснения:
Действиями первой ступени называют сложение и вычитание чисел, а действиями второй ступени - умножение и деление чисел.
При вычислении значений выражений порядок выполнения действий определяют следующие правила:
1. Если выражение содержит только действия одной ступени и в нем нет скобок, то действия выполняют по порядку слева направо.
2. Если в выражении нет скобок, то сначала выполняют действия второй ступени, потом - действия первой ступени.
3. Если в выражении есть скобки есть скобки, то сначала выполняют действия в скобках (учитывая правила 1 и 2).
Возведение числа в степень - это пятое арифметическое действие, поэтому стоит учитывать, что:
Если в числовое выражение входит степень, то сначала выполняют возведение в степень, а потом - остальные действия, в соответствии с порядком их выполнения.
Красные числа, стоящие сверху над действиями, показывают в каком порядке нужно выполнять действия.
Правила, по которым выполнены вычисления, смотри в подсказке.
№1.79 учебника 2021-2022 (стр. 23):












Вернуться к содержанию учебника