Вернуться к содержанию учебника
Выберите год учебника
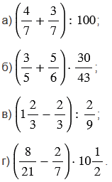
№2.412 учебника 2023-2024 (стр. 100):
Выполните действия:

№2.412 учебника 2021-2022 (стр. 93):
Со склада выдали в первый раз для штукатурки стен
имеющейся сухой смеси, а во второй раз - 0,4 оставшейся смеси. Сколько килограммов смеси выдали второй раз, если на складе было 4500 кг?
№2.412 учебника 2023-2024 (стр. 100):
Вспомните:
№2.412 учебника 2021-2022 (стр. 93):
Вспомните:
№2.412 учебника 2023-2024 (стр. 100):

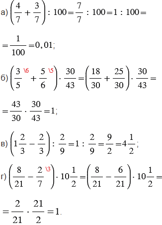
Пояснения:
Если в выражении есть скобки, то сначала выполняют действия в скобках, а затем за скобками.
Правила, по которым выполняем вычисления в скобках:
1) чтобы найти сумму двух дробей с одинаковыми знаменателями, нужно сложить их числители, а знаменатель оставить прежним;
2) чтобы найти разность двух дробей с одинаковыми знаменателями, нужно из числителя уменьшаемого вычесть числитель вычитаемого, а знаменатель оставить прежним;
3) чтобы сложить (вычесть) две дроби с разными знаменателями, надо, используя основное свойство дроби, привести данные дроби к общему знаменателю (наименьшее общее кратное знаменателей), затем применить правило сложения (вычитания) дробей с одинаковыми знаменателями.
После выполнения действий в скобках, в пунктах а) и в) получилось, что нужно единицу разделить на число. Если единицу разделить на какое-то число, то получится число, обратное делителю, так как произведение взаимно обратных чисел равно единице. А в пунктах б) и г) получилось произведение взаимно обратных чисел, которое равно единице.
Помним:
является число
.
- натуральное число, то обратным ему является число
.Также учитываем то, что при выполнении умножения на смешанное число, его нужно преобразовать в неправильную дробь. Чтобы преобразовать смешанное число в неправильную дробь, надо целую часть числа умножить на знаменатель дробной части и к полученному произведению прибавить числитель дробной части; эту сумму записать как числитель неправильной дроби, а в ее знаменатель записать знаменатель дробной части смешанного числа.
И если при вычислениях получилась неправильная дробь (числитель больше знаменателя), ее нужно преобразовать в смешанное число. Чтобы неправильную дробь, числитель которой нацело не делится на знаменатель, преобразовать в смешанное число, надо числитель разделить на знаменатель; полученное неполное частное записать как целую часть смешанного числа, а остаток - как числитель его дробной части.
№2.412 учебника 2021-2022 (стр. 93):
- сухой смеси выдали в первый раз.
2) 4500 - 2000 = 2500 (кг) - сухой смеси осталось на складе после первого раза.
3) 2500 • 0,4 = 1000 (кг)
Ответ: 1000 кг смеси выдали во второй раз.
Пояснения:
Чтобы найти дробь от числа (десятичную или обыкновенную), нужно умножить число на эту дробь.
На складе было 4500 кг сухой смеси. Со склада выдали в первый раз для штукатурки стен
имеющейся сухой смеси, значит, в первый раз со склада выдали:
сухой смеси.
Чтобы умножить обыкновенную дробь на натуральное число, нужно ее числитель умножить на это число, а знаменатель оставить без изменения. Чтобы вычисления были проще, не надо перемножать сразу, лучше сделать это после сокращения. Сократить дробь - значит, разделить ее числитель и знаменатель на их наибольший общий делитель. Также помним, дробь, у которой в знаменателе стоит единица, равна своему числителю.
Получается, после первого раза на складе осталось:
4500 - 2000 = 2500 (кг) смеси.
Во второй раз со склада выдали 0,4 оставшейся смеси, то есть 0,4 от 2500 кг смеси, значит, во второй раз со склада выдали:
2500 • 0,4 = 1000 (кг) смеси.
Чтобы умножить десятичную дробь на натуральное число, надо: умножить их как натуральные числа, не обращая внимание на запятую, затем в полученном произведении отделить запятой справа столько цифр, сколько их стоит после запятой у умножаемой дроби.
Вернуться к содержанию учебника