Вернуться к содержанию учебника
Выберите год учебника
№682 учебника 2023-2026 (стр. 146):
Разложите на множители многочлен:
а) \(x^3 - 3x^2 + x\);
б) \(m^2 - 2m^3 - m^4\);
в) \(4a^5 - 2a^3 + a\);
г) \(6x^2 - 4x^3 + 10x^4\);
д) \(15a^3 - 9a^2 + 6a\);
е) \(-3m^2 - 6m^3 + 12m^5\).
№682 учебника 2013-2022 (стр. 147):
Замените степень произведением, а затем произведение преобразуйте в многочлен:

№682 учебника 2023-2026 (стр. 146):
№682 учебника 2013-2022 (стр. 147):
Вспомните:
№682 учебника 2023-2026 (стр. 146):
а) \(x^3 - 3x^2 + x =\)
\(=x\bigl(x^2 - 3x + 1\bigr)\).
б) \(m^2 - 2m^3 - m^4 =\)
\(=m^2\bigl(1 - 2m - m^2\bigr)\).
в) \(4a^5 - 2a^3 + a = \)
\(=a\bigl(4a^4 - 2a^2 + 1\bigr)\).
г) \(6x^2 - 4x^3 + 10x^4 =\)
\(=2x^2\bigl(3 - 2x + 5x^2\bigr)\).
д) \(15a^3 - 9a^2 + 6a =\)
\(=3a\bigl(5a^2 - 3a + 2\bigr)\).
е) \(-3m^2 - 6m^3 + 12m^5 =\)
\(=-3m^2\bigl(1 + 2m - 4m^3\bigr)\).
Пояснения:
Использованные правила и приёмы:
1) Распределительный закон:
\[a(b +c+d) =ab+ac+ad\]
2) Обратный распределительный закон (вынос общего множителя):
\[ab+ac+ad =a(b +c+d)\]
3) Вынос наименьшей степени при работе со степенями:
\[a^p + a^q + a^r = a^{\min(p,q,r)}\bigl(a^{p-\min(p,q,r)} + a^{q-\min(p,q,r)} + a^{r-\min(p,q,r)}\bigr)\]
В каждом многочлене выделили наибольший общий множитель (степень переменной и числовой коэффициент), вынесли его за скобку, а внутри скобки записали оставшиеся частные.
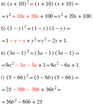
№682 учебника 2013-2022 (стр. 147):

Пояснения:
Учитывая определение степени, представляем многочлен данный в квадрате в виде произведения двух таких многочленов и выполняем умножение многочлена на многочлен.
Чтобы умножить многочлен на многочлен, можно каждый член одного многочлена умножить на каждый член другого и полученные произведения сложить (мы говорим об алгебраической сумме - выражение, которое можно представить в виде суммы положительных и отрицательных чисел). В решении выделены одинаковым цветом подобные слагаемые, их мы складываем (вычитаем), тем самым упрощая выражение.
Вернуться к содержанию учебника