Вернуться к содержанию учебника
Выберите год учебника
№417 учебника 2023-2025 (стр. 101):
Каково взаимное расположение графиков функций:

Постройте схематически графики данных функций.
№417 учебника 2013-2022 (стр. 102):
Найдите значение дроби:

№417 учебника 2023-2025 (стр. 101):
Вспомните:
№417 учебника 2013-2022 (стр. 102):
Вспомните:
№417 учебника 2023-2025 (стр. 101):


№417 учебника 2013-2022 (стр. 102):

| - | 3 | 4 | 3 | 2 | 7 | |||||||||
| 2 | 7 | 1 | 2 | |||||||||||
| - | 7 | 3 | ||||||||||||
| 5 | 4 | |||||||||||||
| 1 | 9 | - | о | с | т | . |
Пояснения:
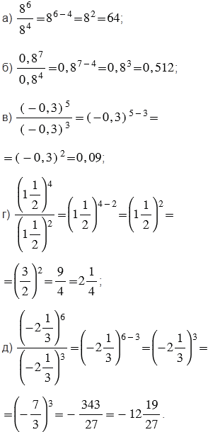
Учитываем то, что дробь, можно заменить делением (числитель делим на знаменатель), а при делении степеней с одинаковыми основаниями основание оставляют прежним, а из показателя степени делимого вычитают показатель степени делителя.
Вернуться к содержанию учебника