Вернуться к содержанию учебника
Выберите год учебника
№415 учебника 2023-2026 (стр. 101):
Не выполняя построения, найдите координаты точек пересечения графика функции
с осью
и осью
.
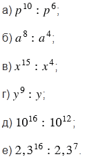
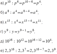
№415 учебника 2013-2022 (стр. 102):
Выполните деление:

№415 учебника 2023-2026 (стр. 101):
Вспомните:
№415 учебника 2013-2022 (стр. 102):
Вспомните:
Вернуться к содержанию учебника