Вернуться к содержанию учебника
Выберите год учебника
№420 учебника 2023-2026 (стр. 103):
Представьте выражение
в виде произведения двух степеней с одинаковыми основаниями, одна из которых равна:

№420 учебника 2013-2022 (стр. 103):
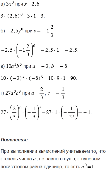
Найдите значение выражения:

№420 учебника 2023-2026 (стр. 103):
Вспомните:
№420 учебника 2013-2022 (стр. 103):
Вспомните:
Вернуться к содержанию учебника