Вернуться к содержанию учебника
Выберите год учебника
№413 учебника 2023-2026 (стр. 101):
Запишите в виде выражения:
а) квадрат суммы чисел
и 1;
б) сумму квадратов чисел
и
;
в) разность квадратов чисел
и
;
г) квадрат разности чисел
и
;
д) удвоенное произведение квадратов чисел
и
;
е) удвоенное произведение куба
и квадрата
.
№413 учебника 2013-2022 (стр. 102):
Представьте в виде степени с основанием
:

№413 учебника 2023-2026 (стр. 101):
Вспомните, степень с натуральным показателем.
№413 учебника 2013-2022 (стр. 102):
Вспомните:
№413 учебника 2023-2026 (стр. 101):

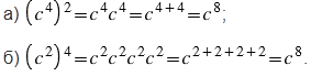
№413 учебника 2013-2022 (стр. 102):

Пояснения:
Сначала по определению степени представляем степень в виде произведения одинаковых множителей, а затем используем то, что при умножении степеней с одинаковыми основаниями основание оставляют прежним, а показатели степеней складывают.
Вернуться к содержанию учебника