Вернуться к содержанию учебника
Выберите год учебника
№412 учебника 2023-2026 (стр. 100):
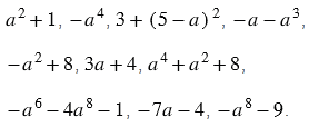
(Для работы в парах.) Даны выражения:

Какие из этих выражений принимают:
а) только положительные значения;
б) только отрицательные значения?
1) Распределите, кто выполняет задание а), а кто - задание б), и выполните их.
2) Проверьте друг у друга, верно ли выполнено задание.
3) Исправьте ошибки, если они допущены.
№412 учебника 2013-2022 (стр. 102):
По таблице степеней числа 3, помещенной на форзаце учебника, найдите значение выражения, представьте его в виде степени с основанием 3:
а) 32 • 35;
б) 81 • 36;
в) 9 • 2187;
г) 27 • 243
№412 учебника 2023-2026 (стр. 100):
Вспомните:
№412 учебника 2013-2022 (стр. 102):
Вспомните:
№412 учебника 2023-2026 (стр. 100):
а) Принимают только положительные значения:

б) Принимают только отрицательные значения:

Пояснения:
При определении положительных значений учитываем то, что в алгебраической сумме хотя бы одно из слагаемых должно быть положительное, а другие - неотрицательные.
При определении отрицательных значений учитываем то, что в алгебраической сумме хотя бы одно из слагаемых должно быть отрицательное, а другие - неположительные.
При возведении неотрицательного числа в степень получаем неотрицательное число.
При возведении отрицательного числа в степень с чётным показателем получаем положительное число, а при возведении отрицательного числа в степень с нечётным показателем получаем отрицательное число.
№412 учебника 2013-2022 (стр. 102):
а) 32 • 35 = 32+5 = 37 = 2187;
б) 81 • 36 = 34 • 36 = 34+6 = 310 = 59 049;
в) 9 • 2187 = 32 • 37 = 32+7 = 39 = 19 683;
г) 27 • 243 = 33 • 35 = 33+5 = 38 = 6 561.
Пояснения:
Чтобы выполнить умножение, нужно привести множители к степеням с одинаковыми основаниями, а затем выполнить умножение, учитывая то, что при умножении степеней с одинаковыми основаниями основание оставляют прежним, а показатели степеней складывают.
Таблицу степеней числа 3 можно посмотреть на форзаце учебника или в интернете.
Вернуться к содержанию учебника