Вернуться к содержанию учебника
Выберите год учебника
№381 учебника 2023-2026 (стр. 93):
Не выполняя построения, найдите координаты точки пересечения графиков линейных функций:

№381 учебника 2013-2022 (стр. 96):
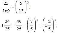
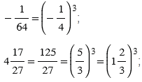
Представьте:
а) в виде квадрата число: 0,81; 0,16; 144;
; 0,0004;
б) в виде куба число: 64; -216; 0,008;
;
в) в виде степени десяти число 10; 100; 1000; 1 000 000;
г) в виде степени пяти число: 125; 625; 15 625.
№381 учебника 2023-2026 (стр. 93):
Вспомните:
№381 учебника 2013-2022 (стр. 96):
Вспомните:
Вернуться к содержанию учебника