Вернуться к содержанию учебника
Выберите год учебника
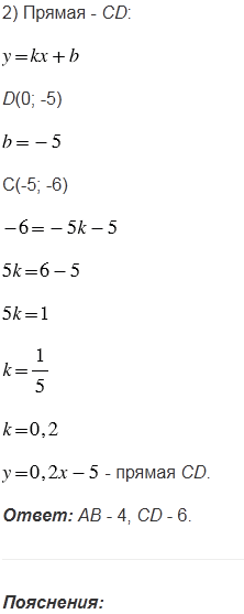
№385 учебника 2023-2026 (стр. 94):
На рисунке 71, а и б изображены прямые - графики двух линейных функций. Каким из приведенных ниже уравнений задается прямая АВ, а каким - прямая СD.

а)

б)

Рис. 71
№385 учебника 2013-2022 (стр. 97):
Найдите значение выражения, используя таблицу квадратов, помещенную на форзаце учебника:
а) 342 - 175;
б) 605 + 782;
в) 422 • 9;
г) 182 : 27;
д) 752 + 252;
е) 592 - 36.
№385 учебника 2023-2026 (стр. 94):
Вспомните:
№385 учебника 2013-2022 (стр. 97):
Вспомните, степень с натуральным показателем.
№385 учебника 2023-2026 (стр. 94):






№385 учебника 2013-2022 (стр. 97):
а) 342 - 175 = 1156 - 175 = 981;
| • | ||||
| - | 1 | 1 | 5 | 6 |
| 1 | 7 | 5 | ||
| 9 | 8 | 1 |
б) 605 + 782 = 605 + 6084 = 6689;
в) 422 • 9 = 1764 • 9 = 15 876;
| × | 1 | 7 | 6 | 4 |
| 9 | ||||
| 1 | 5 | 8 | 7 | 6 |
г) 182 : 27 = 324 : 27 = 12;
| - | 3 | 2 | 4 | 2 | 7 | |||||||||
| 2 | 7 | 1 | 2 | |||||||||||
| - | 5 | 4 | ||||||||||||
| 5 | 4 | |||||||||||||
| 0 |
д) 752 + 252 = 5625 + 625 = 6250;
| + | 5 | 6 | 2 | 5 |
| 6 | 2 | 5 | ||
| 6 | 2 | 5 | 0 |
е) 592 - 36 = 3481 - 36 = 3445.
| • | ||||
| - | 3 | 4 | 8 | 1 |
| 3 | 6 | |||
| 3 | 4 | 4 | 5 |
Пояснения:
При вычислении значений числовых выражений, не содержащих скобки, принят следующий порядок действий: сначала выполняют возведение в степень, затем умножение и деление, далее сложение и вычитание.
Таблицу квадратов можно найти в учебнике по алгебре или посмотреть в интернете.
Вернуться к содержанию учебника