Вернуться к содержанию учебника
Выберите год учебника
№359 учебника 2023-2026 (стр. 89):
Из квадрата со стороной 10 см вырезали прямоугольник со сторонами 8 см и
см (рис. 66). Обозначив площадь оставшейся части квадрата (в квадратных сантиметрах) буквой
, выразите зависимость
(
) формулой. Найдите:
а) значение
, если
= 2,5; 4;
б) значение
, если
= 20; 36.

Рис. 66
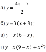
№359 учебника 2013-2022 (стр. 90):
Является линейной функция, заданная формулой:

№359 учебника 2023-2026 (стр. 89):
Вспомните:
№359 учебника 2013-2022 (стр. 90):
Вспомните:
Вернуться к содержанию учебника