Вернуться к содержанию учебника
Выберите год учебника
№203 учебника 2023-2025 (стр. 46):
Найдите значение выражения:

№203 учебника 2013-2022 (стр. 49):
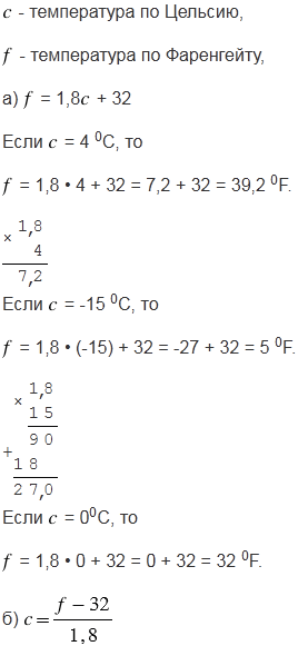
Найдите:
а) какой температуре по Фаренгейту соответствует 4 0С; -15 0С; 00С;
б) какой температуре по Цельсию соответствует 20 0F; -16 0F; 0 0F.
№203 учебника 2023-2025 (стр. 46):
Вспомните:
№203 учебника 2013-2022 (стр. 49):
Вспомните:
№203 учебника 2023-2025 (стр. 46):

Пояснения:
Чтобы найти значение буквенного выражения при заданных числовых значениях переменных, входящих в него, нужно в это выражение вместо переменных подставить числа, им соответствующие, и выполнить вычисления. Правила, по которым выполнены вычисления, смотри в подсказке.
№203 учебника 2013-2022 (стр. 49):



Вернуться к содержанию учебника