Вернуться к содержанию учебника
Выберите год учебника
№131 учебника 2023-2026 (стр. 33):
Какие из чисел -2, -1, 0, 2, 3 являются корнями уравнения:

№131 учебника 2013-2022 (стр. 30):
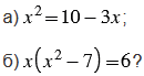
Найдите корень уравнения:

№131 учебника 2023-2026 (стр. 33):
Вспомните:
№131 учебника 2013-2022 (стр. 30):
Вспомните:
Вернуться к содержанию учебника