Вернуться к содержанию учебника
Выберите год учебника
№132 учебника 2023-2026 (стр. 33):
Является ли корнем уравнения
(
- 5) = 6 число: 1; -1; 6; -6?
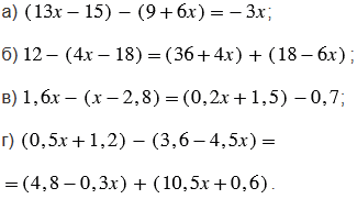
№132 учебника 2013-2022 (стр. 30):
Найдите корень уравнения:

№132 учебника 2023-2026 (стр. 33):
Вспомните:
№132 учебника 2013-2022 (стр. 30):
Вспомните:
Вернуться к содержанию учебника