Вернуться к содержанию учебника
Проверьте себя
Проверочная работа №1
1. Дано уравнение 2
+ 4 = 3
+ 5. Какое из уравнений имеет те же корни, что и данное:
а) 2
+ 3
= 4 + 5;
б) 2
- 3
= 5 - 4;
в) 2
- 3
= 5 + 4;
г) 2
- 3
= 4 - 5?
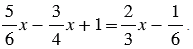
2. Решите уравнение:
а) 7
= -95,4 - 2
;
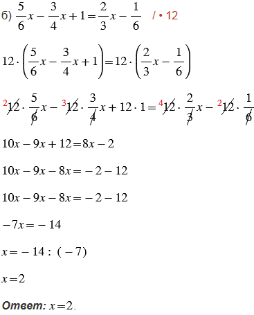
б) 
3. Товарный поезд за 7 ч проходит такой же путь, как скорый поезд за 4 ч. Найдите скорость товарного поезда, если она меньше скорости скорого поезда на 24 км/ч.
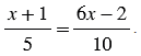
4. Решите уравнение
0,6 • (
- 3) - 0,5 • (
- 1) = 1,5.
Проверочная работа №2
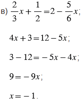
1. Выберите верное решение уравнения:


2. Найдите
из пропорции

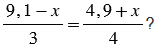
3. Является ли
= -3,1 корнем уравнения

4. В задачнике по алгебре в 2 раза больше задач, чем в задачнике по геометрии, а в задачнике по вероятности и статистике на 75 задач больше, чем в задачнике по геометрии. Сколько задач в каждом сборнике, если во всех трех сборниках 3120 задач?
Вспомните:
стр. 95 учебника 2023-2026:




Пояснения:
При решении уравнений помним:
1) если перенести слагаемое из одной части уравнения в другую с противоположным знаком, то полученное уравнение имеет те же корни, что и данное;
2) корни уравнения не изменяются, если обе части уравнения умножить или разделить на одно и то же число, не равное нулю.
Если в уравнении есть скобки, то сначала раскрывают скобки. Чтобы раскрыть скобки, нужно множитель, стоящий за скобками, умножить на каждое слагаемое, стоящее в скобках (учитываем то, что вычитание можно заменить сложением с противоположным числом) . При этом помним:
Затем все слагаемые с переменной собрать в левой части уравнения, а без переменной - в правой. При переносе слагаемых, не забываем поменять у слагаемого знак на противоположный, далее в левой части привести подобные слагаемые, а в правой - выполнить вычисления. Слагаемые, имеющие одинаковую буквенную часть, называют подобными слагаемыми. Чтобы сложить подобные слагаемые, надо сложить их коэффициенты (числа, стоящие перед буквенной частью) и полученный результат умножить на общую буквенную часть.
Задачу решаем при помощи уравнения и помним, чтобы найти расстояние, нужно время умножить на скорость движения.
Также при решении уравнений помним:
1) чтобы найти неизвестное слагаемое, нужно из суммы вычесть известное слагаемое;
2) чтобы найти неизвестное уменьшаемое, нужно к разности прибавить вычитаемое;
3) чтобы найти неизвестное вычитаемое, нужно из уменьшаемого вычесть разность;
4) чтобы найти неизвестный множитель, нужно произведение разделить на известный множитель.
Правила, по которым выполнены вычисления, смотрите в подсказке.
стр. 95 учебника 2023-2026:




Ответ: геометрия - 761,25 задач, алгебра - 1522,5 задач, вероятность - 836, 25 задач (опечатка в учебнике, так как количество задач должно выражаться натуральным числом).
Пояснения:
При решении уравнений помним:
1) если перенести слагаемое из одной части уравнения в другую с противоположным знаком, то полученное уравнение имеет те же корни, что и данное;
2) корни уравнения не изменяются, если обе части уравнения умножить или разделить на одно и то же число, не равное нулю.
Если в уравнении есть скобки, то сначала раскрывают скобки. Чтобы раскрыть скобки, нужно множитель, стоящий за скобками, умножить на каждое слагаемое, стоящее в скобках (учитываем то, что вычитание можно заменить сложением с противоположным числом) . При этом помним:
Затем все слагаемые с переменной собрать в левой части уравнения, а без переменной - в правой. При переносе слагаемых, не забываем поменять у слагаемого знак на противоположный, далее в левой части привести подобные слагаемые, а в правой - выполнить вычисления. Слагаемые, имеющие одинаковую буквенную часть, называют подобными слагаемыми. Чтобы сложить подобные слагаемые, надо сложить их коэффициенты (числа, стоящие перед буквенной частью) и полученный результат умножить на общую буквенную часть.
При решении уравнений, представляющих собой пропорцию, используем основное свойство пропорции, согласно которому произведение крайних членов пропорции равно произведению ее средних членов.
Задачу решаем с помощью уравнения, но в условии задачи допущена опечатка, так как количество задач может быть только натуральным числом.
Также при решении уравнений помним:
1) чтобы найти неизвестное слагаемое, нужно из суммы вычесть известное слагаемое;
2) чтобы найти неизвестное уменьшаемое, нужно к разности прибавить вычитаемое;
3) чтобы найти неизвестное вычитаемое, нужно из уменьшаемого вычесть разность;
4) чтобы найти неизвестный множитель, нужно произведение разделить на известный множитель.
Правила, по которым выполнены вычисления, смотрите в подсказке
Вернуться к содержанию учебника