Вернуться к содержанию учебника
№5.22 учебника 2023-2026 (стр. 80):
Вычислите наиболее удобным способом:

№5.22 учебника 2023-2026 (стр. 80):
Вспомните:
№5.22 учебника 2023-2026 (стр. 80):


Пояснения:
В пунктах а) и б) применяем переместительное и сочетательное свойства сложения. При этом помним то, что сумма противоположных чисел равна нулю.
В пунктах в) и г) применяем переместительное и сочетательное свойства умножения. При этом помним то, что произведение взаимно обратных чисел равно единице.
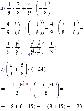
В пункте д) применяем распределительное свойство умножения относительно сложения, то есть выносим одинаковый множитель за скобки и, выполнив вычисления в скобках, умножаем вынесенный множитель на полученный результат.
В пункте д) применяем распределительное свойство умножения относительно сложения, то есть умножаем каждое слагаемое из скобок на множитель, стоящий за скобки, и складываем полученные результаты.
Правила, по которым выполнены вычисления, смотрите в подсказке.
Вернуться к содержанию учебника